Официальное опубликование правовых актов
ОФИЦИАЛЬНОЕ ОПУБЛИКОВАНИЕ
Постановление Правительства Республики Северная Осетия - Алания от 26.09.2017 № 359
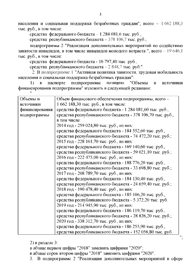
"О внесении изменений в постановление Правительства Республики Северная Осетия-Алания от 28 октября 2013 г. № 383 "О государственной программе Республики Северная Осетия-Алания "Содействие занятости населения Республики Северная Осетия-Алания" на 2014-2018 годы"
Номер опубликования: 1500201710030011
Дата опубликования: 03.10.2017
Страница №4 из 15:
Увеличить