Официальное опубликование правовых актов
ОФИЦИАЛЬНОЕ ОПУБЛИКОВАНИЕ
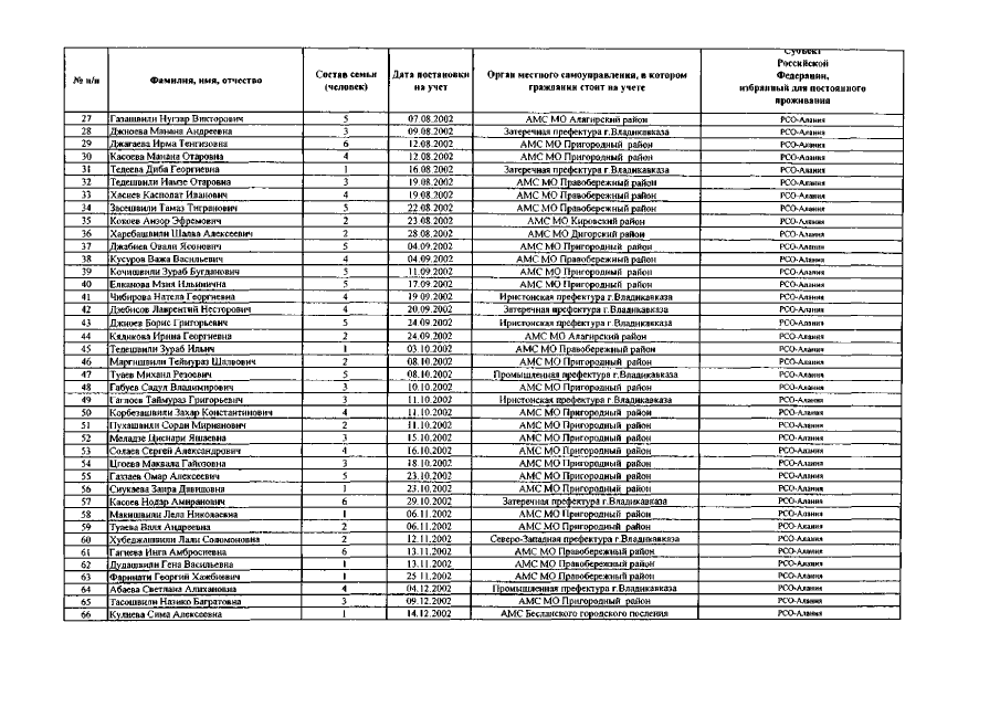
Постановление Правительства Республики Северная Осетия - Алания от 24.05.2017 № 212
"Об утверждении списка граждан - получателей государственных жилищных сертификатов на 2017 год по подпрограмме "Выполнение государственных обязательств по обеспечению жильем категорий граждан, установленных федеральным законодательством" Федеральной целевой программы "Жилище" на 2015 - 2020 годы"
Номер опубликования: 1500201705290011
Дата опубликования: 29.05.2017
Страница №3 из 4:
Увеличить