Распоряжение Правительства Республики Северная Осетия - Алания от 25.04.2017 № 136-р
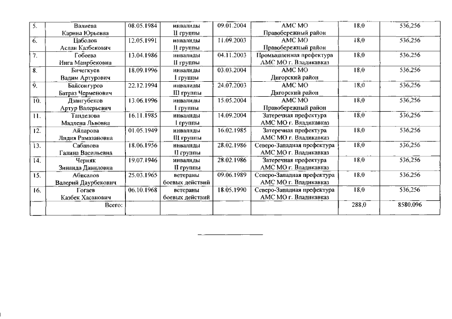
"Об утверждении списка граждан - получателей субсидий на улучшение жилищных условий в соответствии с Федеральным законом от 24 ноября 1995 года № 181-ФЗ "О социальной защите инвалидов в Российской Федерации и Федеральным законом от 12 января 1995 года № 5-ФЗ "О ветеранах", нуждающихся в улучшении жилищных условий"
"Об утверждении списка граждан - получателей субсидий на улучшение жилищных условий в соответствии с Федеральным законом от 24 ноября 1995 года № 181-ФЗ "О социальной защите инвалидов в Российской Федерации и Федеральным законом от 12 января 1995 года № 5-ФЗ "О ветеранах", нуждающихся в улучшении жилищных условий"
Номер опубликования: 1500201705030015
Дата опубликования:
03.05.2017
