Официальное опубликование правовых актов
ОФИЦИАЛЬНОЕ ОПУБЛИКОВАНИЕ
Постановление Правительства Республики Северная Осетия - Алания от 26.12.2016 № 466
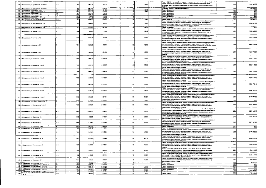
"О внесении изменений в постановление Правительства Республики Северная Осетия-Алания от 30 декабря 2013 года № 513 "О Республиканской программе "Капитальный ремонт общего имущества в многоквартирных домах" на 2014-2038 годы"
Номер опубликования: 1500201612300042
Дата опубликования: 30.12.2016
Страница №114 из 536:
Увеличить