Официальное опубликование правовых актов
ОФИЦИАЛЬНОЕ ОПУБЛИКОВАНИЕ
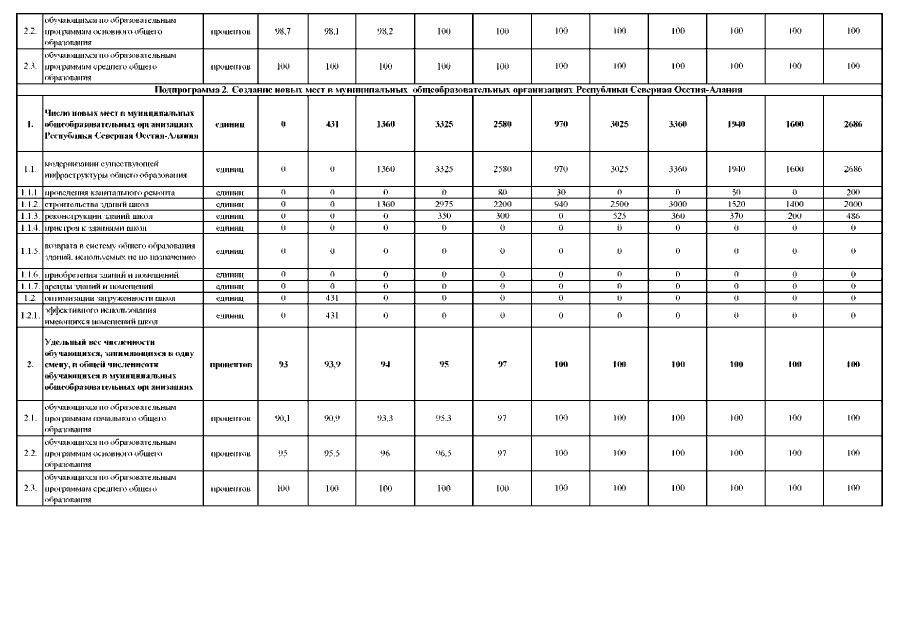
Постановление Правительства Республики Северная Осетия - Алания от 26.12.2016 № 474
"О государственной программе Республики Северная Осетия-Алания "Создание новых мест в общеобразовательных организациях в соответствии с прогнозируемой потребностью н современными условиями обучения в Республике Северная Осетия - Алания" на 2016 - 2025 годы"
Номер опубликования: 1500201612300006
Дата опубликования: 30.12.2016
Страница №33 из 56:
Увеличить