Официальное опубликование правовых актов
ОФИЦИАЛЬНОЕ ОПУБЛИКОВАНИЕ
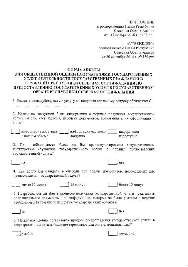
Распоряжение Главы Республики Северная Осетия - Алания от 17.11.2016 № 38-рг
"О внесении изменений в распоряжение Главы Республики Северная Осетия-Алания от 30 сентября 2014 года № 150-рга "Об организации работы по внедрению общественной оценки деятельности государственных гражданских служащих Республики Северная Осетия-Алания по предоставлению государственных услуг в государственных органах Республики Северная Осетия-Алания"
Номер опубликования: 1500201611230016
Дата опубликования: 23.11.2016
Страница №3 из 5:
Увеличить