Официальное опубликование правовых актов
ОФИЦИАЛЬНОЕ ОПУБЛИКОВАНИЕ
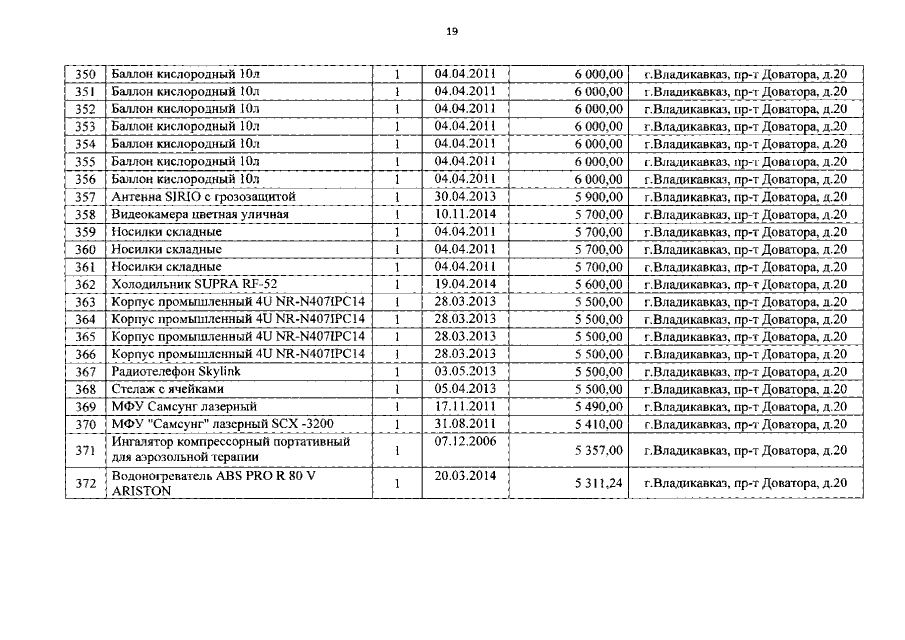
Постановление Правительства Республики Северная Осетия - Алания от 18.10.2016 № 353
"О реорганизации государственного бюджетного учреждения здравоохранения "Станция скорой медицинской помощи" Министерства здравоохранения Республики Северная Осетия-Алания"
Номер опубликования: 1500201610250001
Дата опубликования: 25.10.2016
Страница №21 из 30:
Увеличить