Официальное опубликование правовых актов
ОФИЦИАЛЬНОЕ ОПУБЛИКОВАНИЕ
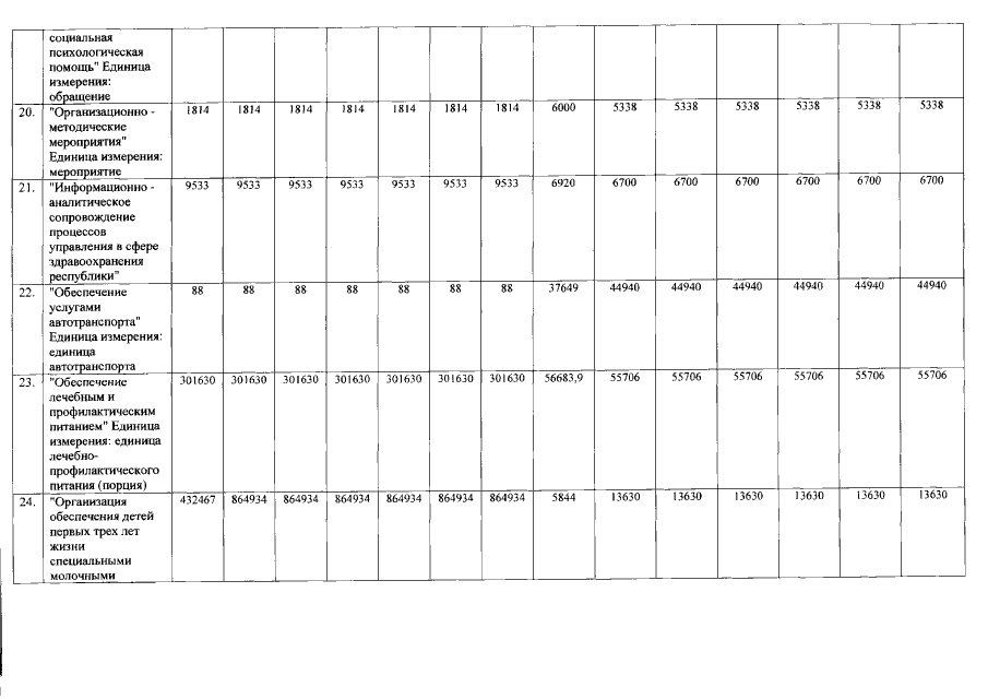
Постановление Правительства Республики Северная Осетия - Алания от 29.12.2015 № 367
"О внесении изменений в постановление Правительства Республики Северная Осетия-Алания от 28 октября 2013 г. № 398 "О государственной программе Республики Северная Осетия-Алания "Развитие здравоохранения Республики Северная Осетия-Алания" на 2014-2020 годы"
Номер опубликования: 1500201601040010
Дата опубликования: 04.01.2016
Страница №85 из 89:
Увеличить