Постановление Правительства Республики Северная Осетия - Алания от 22.12.2015 № 351
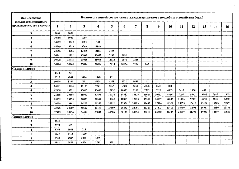
"О годовых нормативах чистого дохода в стоимостном выражении от реализации плодов и продукции, полученных в личном подсобном хозяйстве, в Республике Северная Осетия-Алания на I полугодие 2016 года"
"О годовых нормативах чистого дохода в стоимостном выражении от реализации плодов и продукции, полученных в личном подсобном хозяйстве, в Республике Северная Осетия-Алания на I полугодие 2016 года"
Номер опубликования: 1500201512250005
Дата опубликования:
25.12.2015
