Официальное опубликование правовых актов
ОФИЦИАЛЬНОЕ ОПУБЛИКОВАНИЕ
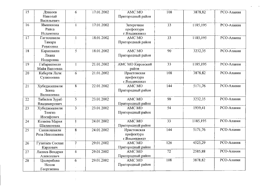
Постановление Правительства Республики Северная Осетия - Алания от 17.07.2015 № 152 "Об утверждении списка граждан - получателей государственных жилищных сертификатов на 2015 год по подпрограмме "Выполнение государственных обязательств по обеспечению жильем категорий граждан, установленных федеральным законодательством" Федеральной целевой программы "Жилище" на 2011 - 2015 годы"
Номер опубликования: 1500201507220021
Дата опубликования: 22.07.2015
Страница №4 из 9:
Увеличить