Официальное опубликование правовых актов
ОФИЦИАЛЬНОЕ ОПУБЛИКОВАНИЕ
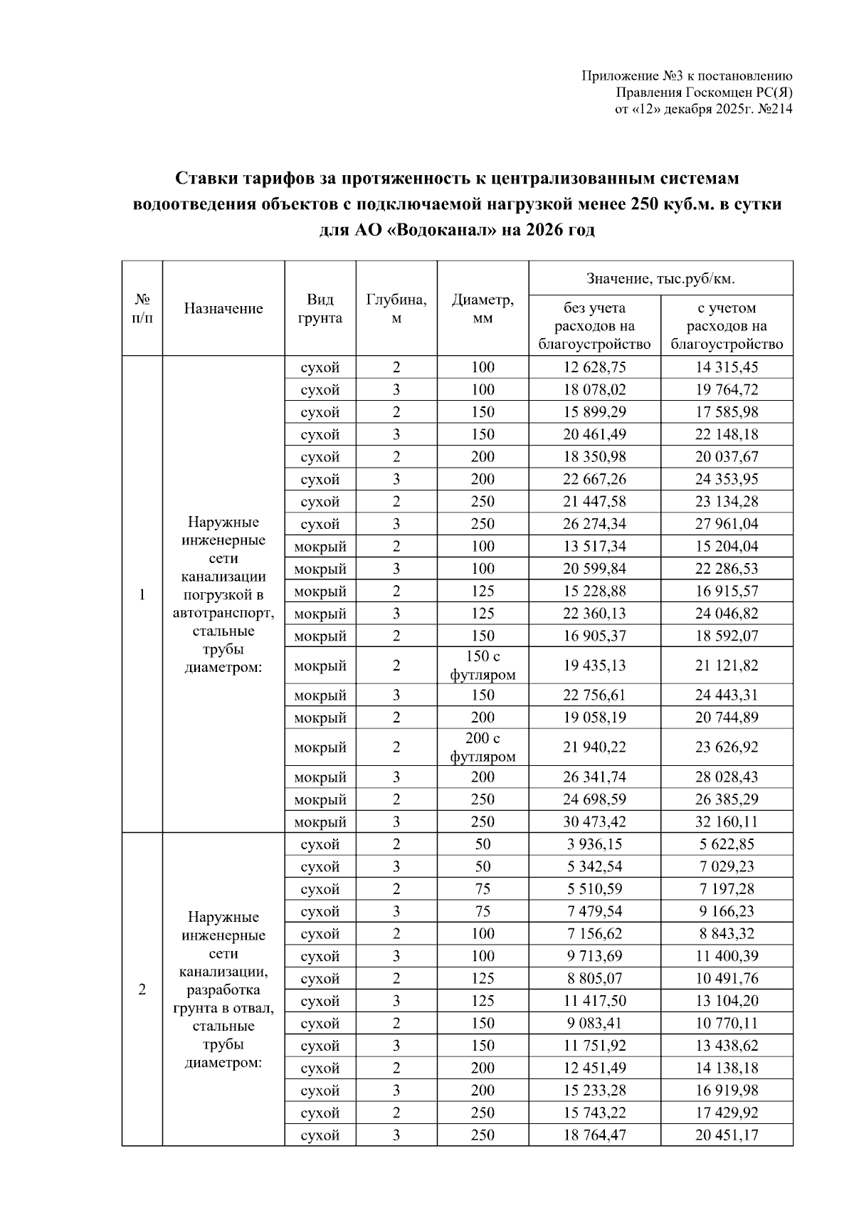
Постановление Государственного комитета по ценовой политике Республики Саха (Якутия) от 12.12.2025 № 214
"Об установлении ставок тарифов на подключение (технологическое присоединение) к централизованным системам холодного водоснабжения и водоотведения АО "Водоканал" на 2026 год"
(Зарегистрирован 17.12.2025 № RU1401420222843)
Номер опубликования: 1401202512190003
Дата опубликования: 19.12.2025
Страница №9 из 10:
Увеличить