Официальное опубликование правовых актов
ОФИЦИАЛЬНОЕ ОПУБЛИКОВАНИЕ
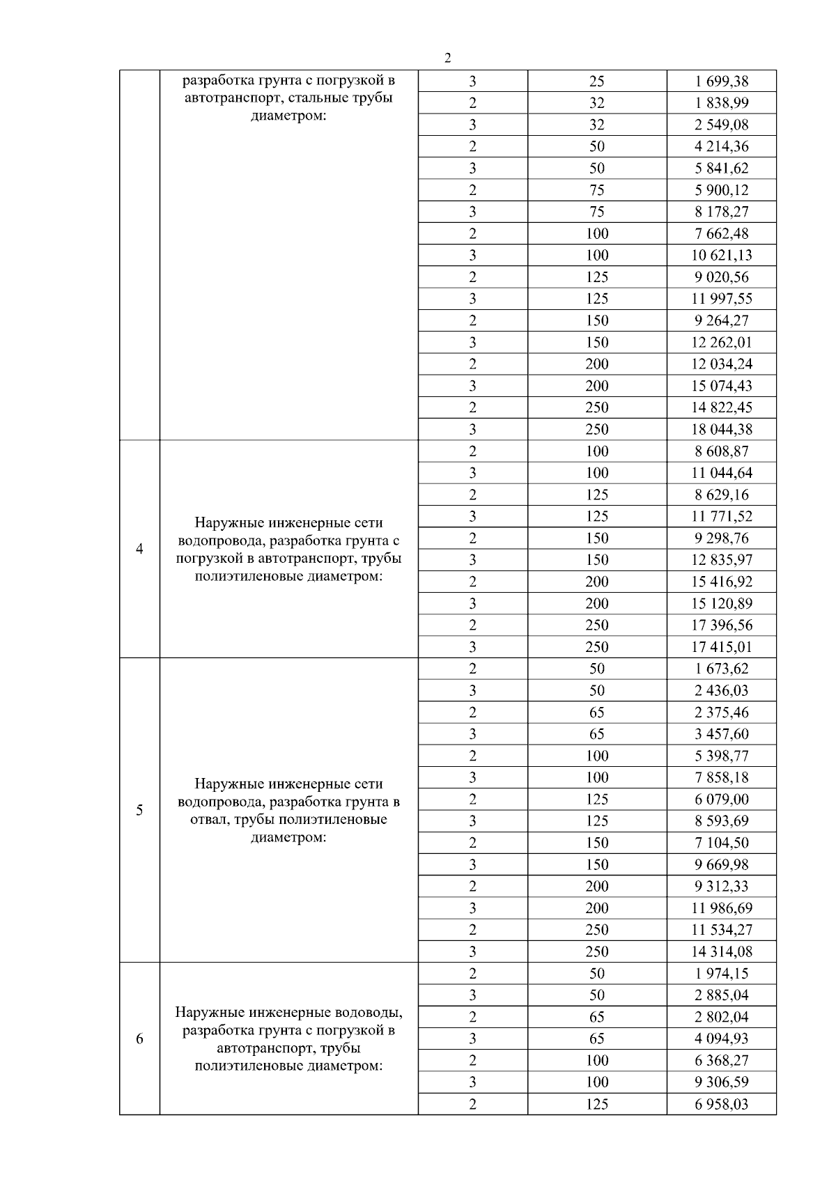
Постановление Государственного комитета по ценовой политике Республики Саха (Якутия) от 24.10.2025 № 160
"Об установлении ставок тарифов на подключение (технологическое присоединение) к централизованным системам холодного, горячего водоснабжения и водоотведения МУП Алданского района "Теплоэнергосервис" на 2025 год"
(Зарегистрирован 30.10.2025 № RU1401420222753)
Номер опубликования: 1401202510300002
Дата опубликования: 30.10.2025
Страница №5 из 15:
Увеличить