Официальное опубликование правовых актов
ОФИЦИАЛЬНОЕ ОПУБЛИКОВАНИЕ
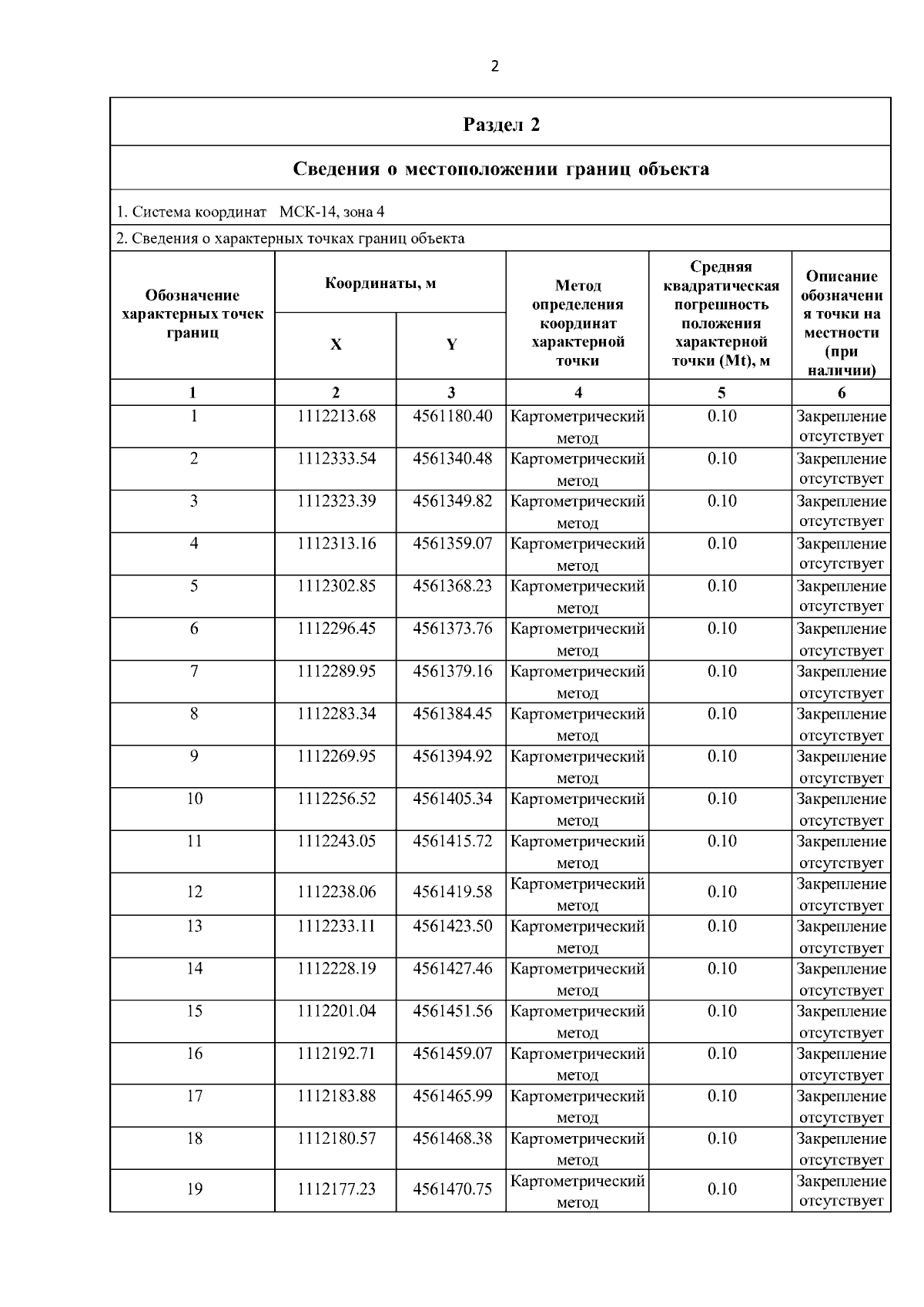
Приказ Министерства экологии, природопользования и лесного хозяйства Республики Саха (Якутия) от 22.07.2025 № 01-05/1-520
"Об установлении границ зон санитарной охраны водозаборного участка Арбын на р. Лена для питьевого и хозяйственно-бытового водоснабжения с. Сыгыннах Муниципального образования "Арбынский наслег" Намского улуса Республики Саха (Якутия)"
(Зарегистрирован 04.08.2025 № RU1401420222683)
Номер опубликования: 1401202508110002
Дата опубликования: 11.08.2025
Страница №4 из 55:
Увеличить