Официальное опубликование правовых актов
ОФИЦИАЛЬНОЕ ОПУБЛИКОВАНИЕ
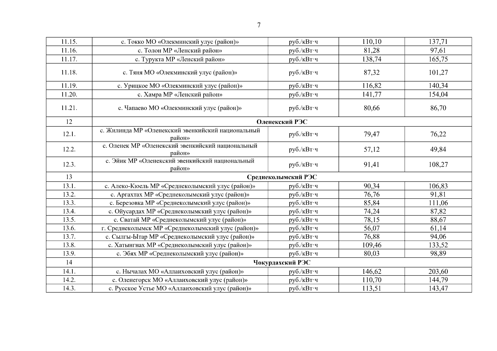
Постановление Государственного комитета по ценовой политике Республики Саха (Якутия) от 14.03.2025 № 41
"О внесении изменений в постановление Правления Государственного комитета по ценовой политике РС(Я) от 06.12.2024 №223 "Об установлении тарифов на электрическую энергию (мощность), поставляемую АО "Сахаэнерго" потребителям Республики Саха (Якутия) на 2025 год"
(Зарегистрирован 19.03.2025 № RU1401420222512)
Номер опубликования: 1401202503200005
Дата опубликования: 20.03.2025
Страница №7 из 9:
Увеличить