Официальное опубликование правовых актов
ОФИЦИАЛЬНОЕ ОПУБЛИКОВАНИЕ
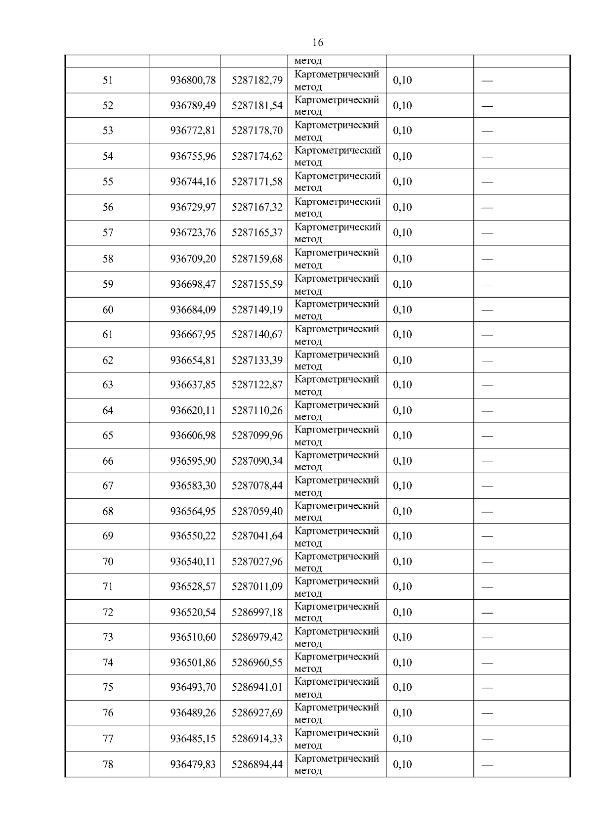
Приказ Министерства экологии, природопользования и лесного хозяйства Республики Саха (Якутия) от 17.01.2025 № 01-05/1-22
"Об установлении границ зон санитарной охраны водозаборной скважины №3 (2/93) для питьевого и хозяйственно-бытового водоснабжения населения с. Майя Мегино-Кангаласского района Республики Саха (Якутия)"
(Зарегистрирован 27.01.2025 № RU1401420222433)
Номер опубликования: 1401202501300005
Дата опубликования: 30.01.2025
Страница №16 из 25:
Увеличить