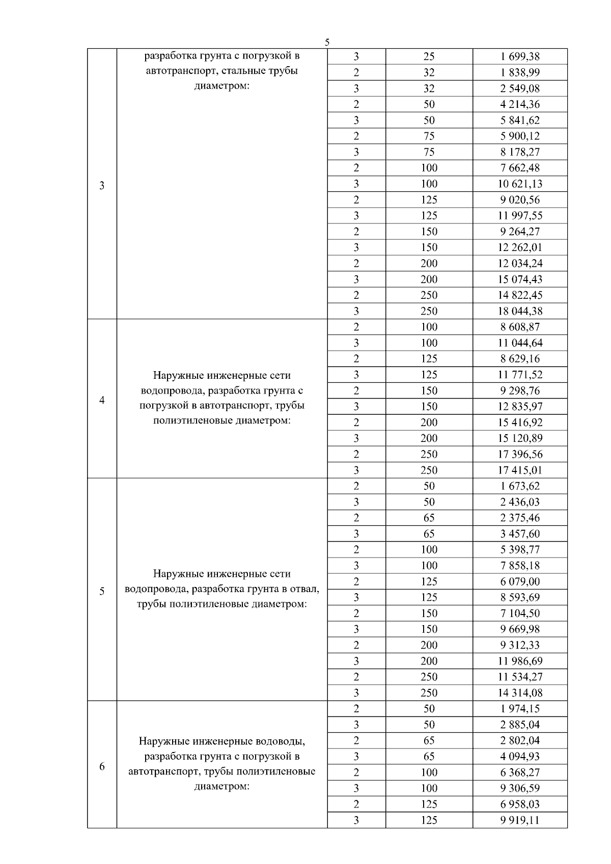
Постановление Государственного комитета по ценовой политике Республики Саха (Якутия) от 20.12.2024 № 291
"Об установлении ставок тарифов на подключение (технологическое присоединение) к централизованным системам холодного, горячего водоснабжения и водоотведения МУП "Жатайтеплосеть" на 2025 год"
(Зарегистрирован 25.12.2024 № RU1401420222335)
"Об установлении ставок тарифов на подключение (технологическое присоединение) к централизованным системам холодного, горячего водоснабжения и водоотведения МУП "Жатайтеплосеть" на 2025 год"
(Зарегистрирован 25.12.2024 № RU1401420222335)
Номер опубликования: 1401202412260017
Дата опубликования:
26.12.2024
