Официальное опубликование правовых актов
ОФИЦИАЛЬНОЕ ОПУБЛИКОВАНИЕ
Приказ Министерства экологии, природопользования и лесного хозяйства Республики Саха (Якутия) от 23.10.2024 № 01-05/1-849
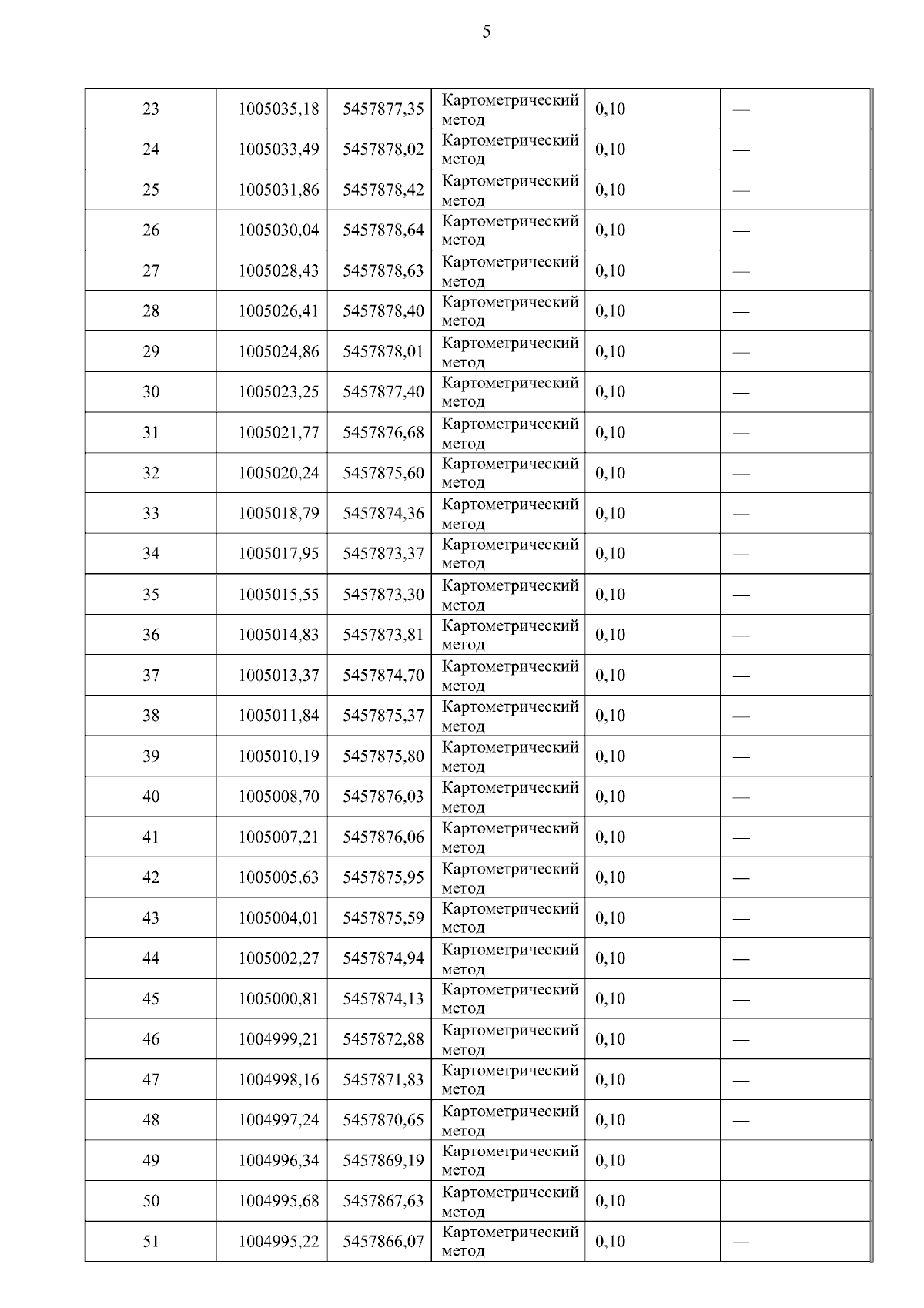
"Об установлении границ зон санитарной охраны водозабора подземных вод на участке водозаборной скважины №2-Ы лицензия ГКГ 01732 ВП. Республика Саха (Якутия), Таттинский район, с. Ытык-Кюель"
(Зарегистрирован 29.10.2024 № RU1401420222133)
Номер опубликования: 1401202410290006
Дата опубликования: 29.10.2024
Страница №5 из 20:
Увеличить