Официальное опубликование правовых актов
ОФИЦИАЛЬНОЕ ОПУБЛИКОВАНИЕ
Приказ Министерства экологии, природопользования и лесного хозяйства Республики Саха (Якутия) от 09.10.2024 № 01-05/1-809
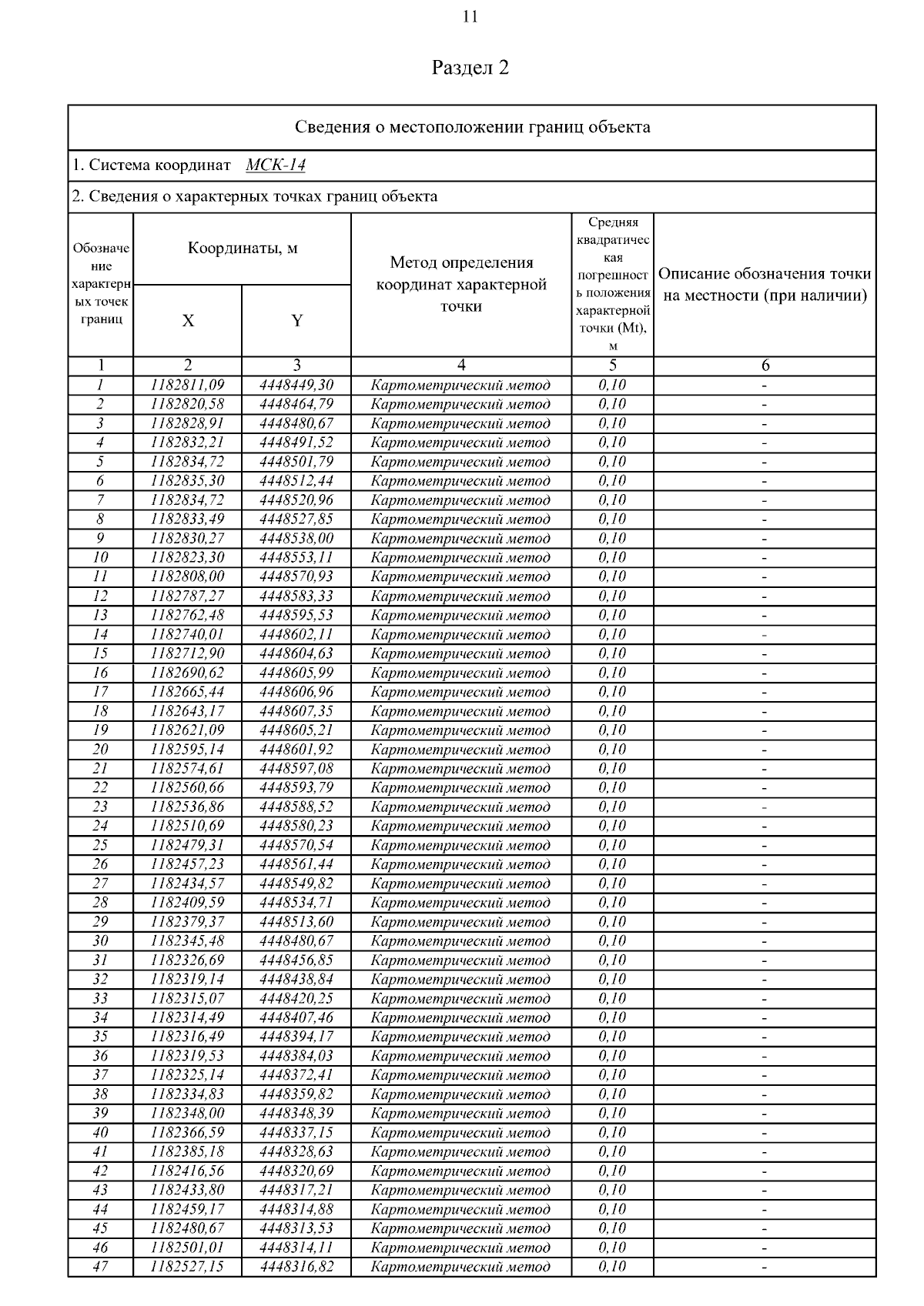
"Об установлении границ зон санитарной охраны водозабора подземных вод на участке водозаборной скважины № 3-С ГУП "ЖКХ РС (Я)"
(Зарегистрирован 16.10.2024 № RU1401420222112)
Номер опубликования: 1401202410160004
Дата опубликования: 16.10.2024
Страница №11 из 17:
Увеличить