Официальное опубликование правовых актов
ОФИЦИАЛЬНОЕ ОПУБЛИКОВАНИЕ
Приказ Министерства экологии, природопользования и лесного хозяйства Республики Саха (Якутия) от 26.09.2024 № 01-05/1-771
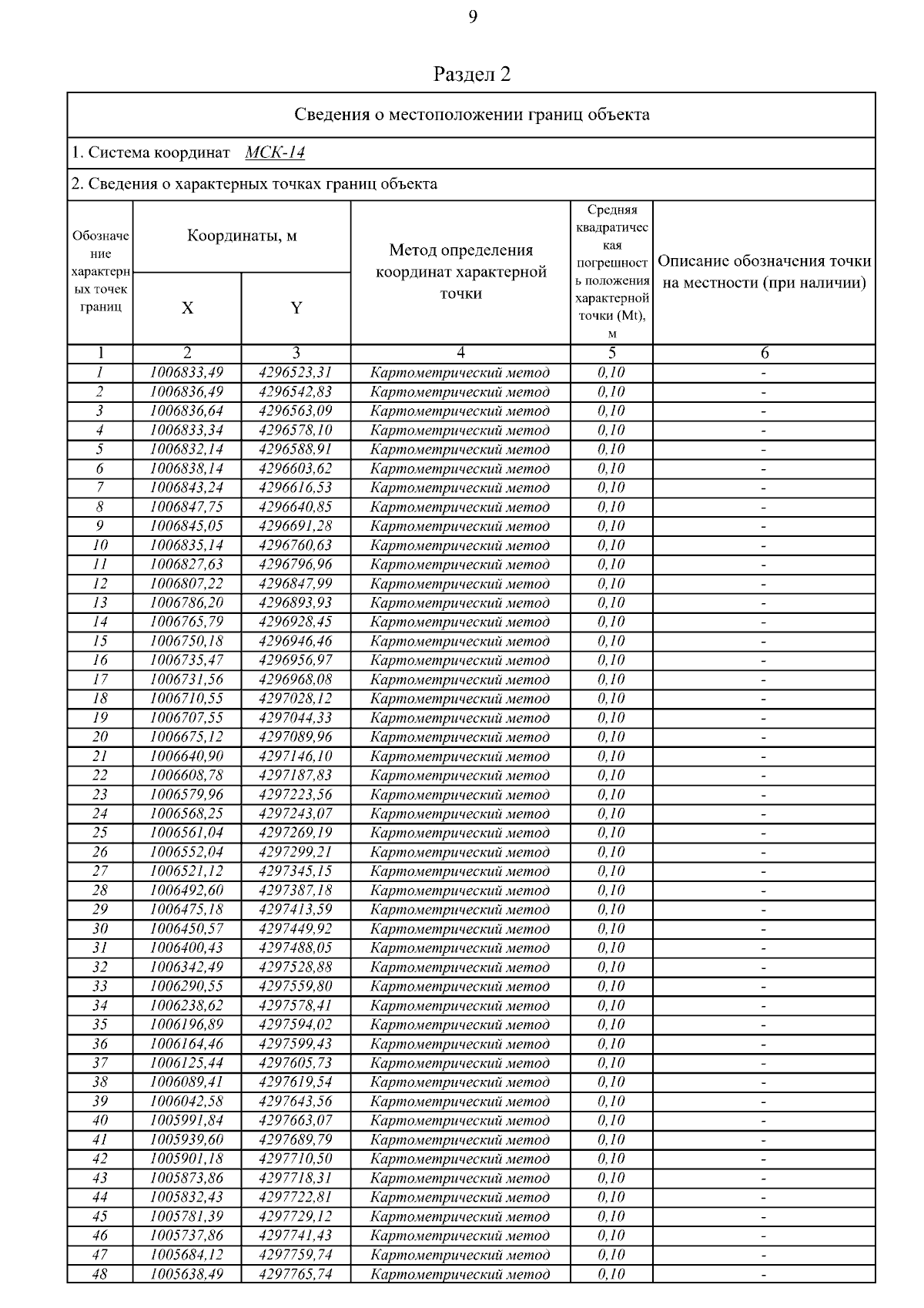
"Об установлении границ зон санитарной охраны водозаборной скважины №2-КП с. Кептин Горного улуса Республики Саха (Якутия), в 0,5 км севернее от с. Кептин"
(Зарегистрирован 10.10.2024 № RU1401420222106)
Номер опубликования: 1401202410110003
Дата опубликования: 11.10.2024
Страница №9 из 21:
Увеличить