Официальное опубликование правовых актов
ОФИЦИАЛЬНОЕ ОПУБЛИКОВАНИЕ
Приказ Министерства экологии, природопользования и лесного хозяйства Республики Саха (Якутия) от 16.09.2024 № 01-05/1-746
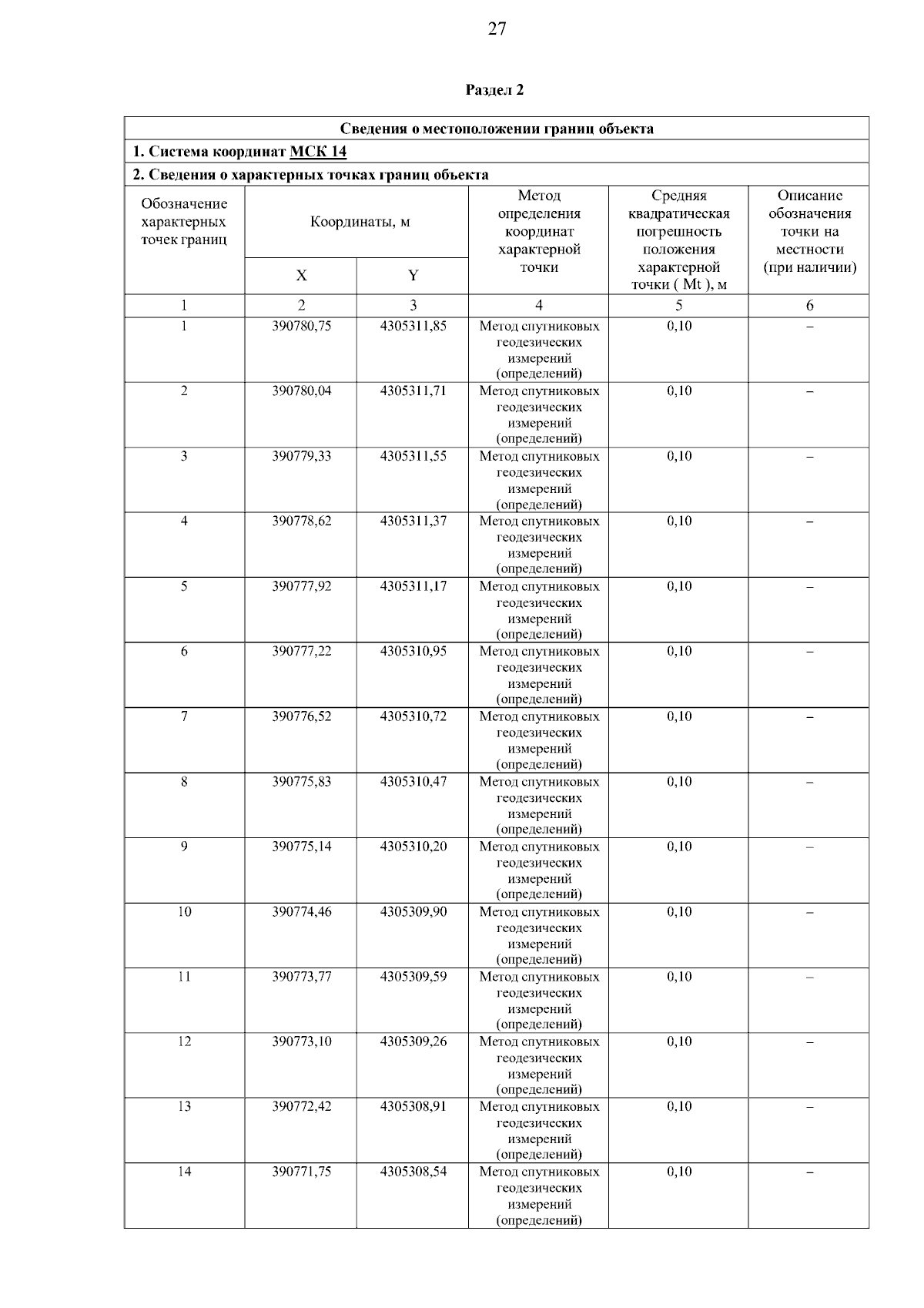
"Об установлении границ зон санитарной охраны скважинного водозабора № 8-г ООО "РПБК" (I пояс). Республика Саха (Якутия), Нерюнгринский район, п. Чульман"
(Зарегистрирован 30.09.2024 № RU1401420222090)
Номер опубликования: 1401202410010003
Дата опубликования: 01.10.2024
Страница №27 из 52:
Увеличить