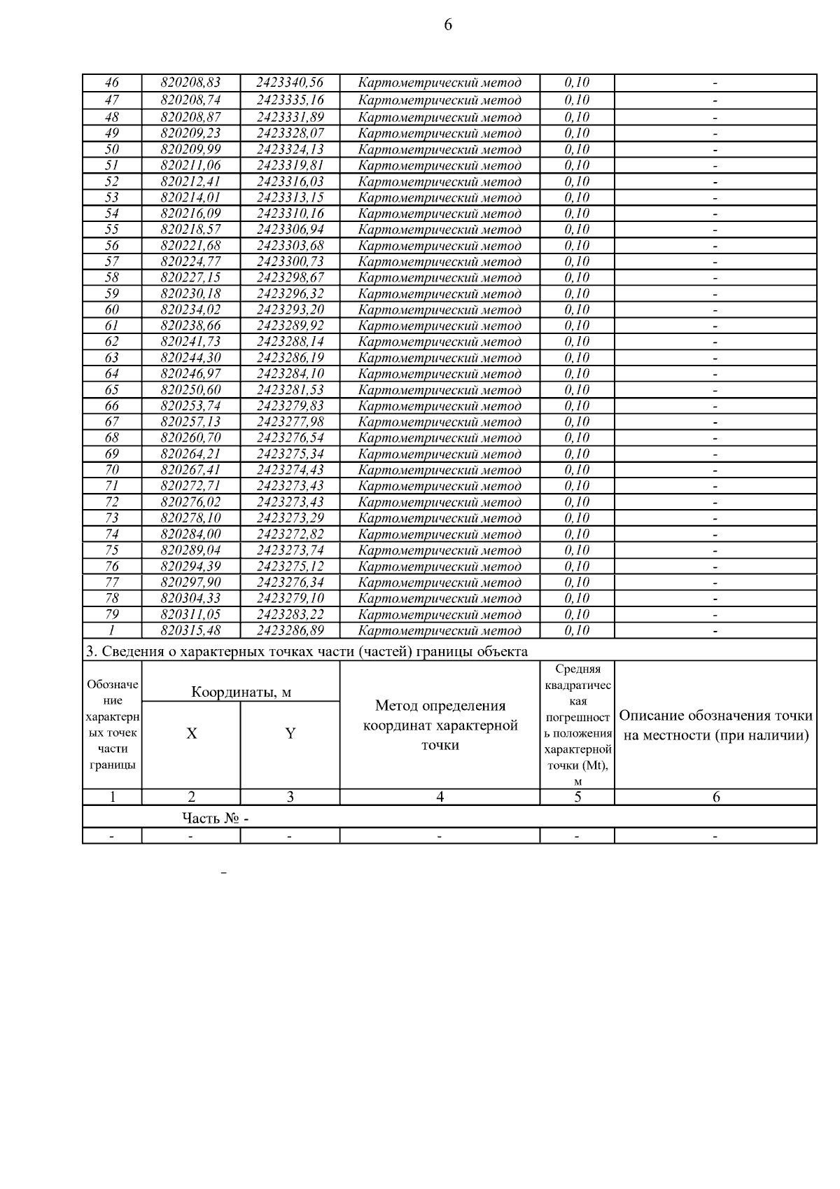
Приказ Министерства экологии, природопользования и лесного хозяйства Республики Саха (Якутия) от 16.09.2024 № 01-05/1-744
"Об установлении границ зон санитарной охраны водозабора подземных вод на участке недр "Западно-Мухтуйский" г. Ленск (скв. №№2-Г, 7Р, Контейнер) АО "Теплоэнергосервис". Республика Саха (Якутия), Ленский район, г. Ленск, мкр. Мухтуя"
(Зарегистрирован 30.09.2024 № RU1401420222094)
"Об установлении границ зон санитарной охраны водозабора подземных вод на участке недр "Западно-Мухтуйский" г. Ленск (скв. №№2-Г, 7Р, Контейнер) АО "Теплоэнергосервис". Республика Саха (Якутия), Ленский район, г. Ленск, мкр. Мухтуя"
(Зарегистрирован 30.09.2024 № RU1401420222094)
Номер опубликования: 1401202409300001
Дата опубликования:
30.09.2024
