Приказ Министерства экологии, природопользования и лесного хозяйства Республики Саха (Якутия) от 31.07.2024 № 01-05/1-627
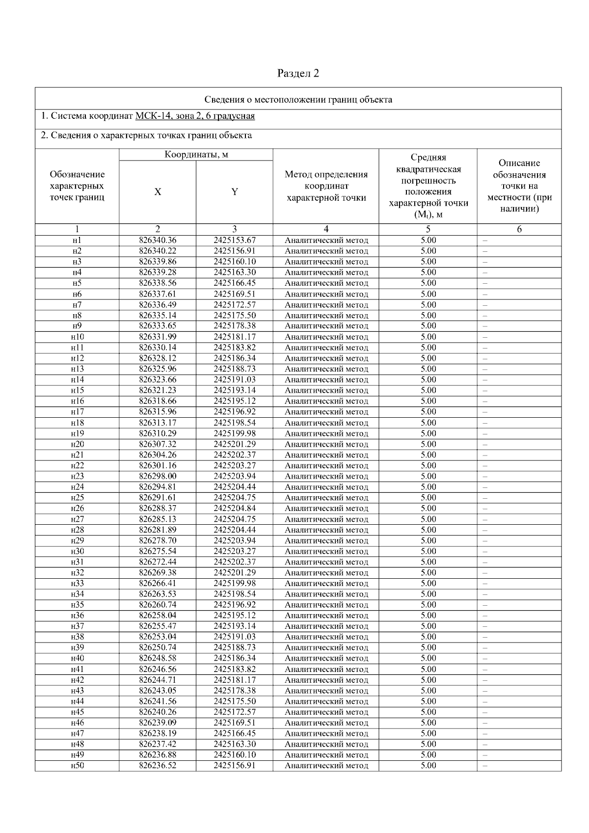
"Об установлении границ зон санитарной охраны водозаборных скважин №1, №2 РПБ при ПС 220 кВ Городская, Республика Саха (Якутия). Республика Саха (Якутия), Ленский район, в 3,0 км к северу от г. Ленск"
(Зарегистрирован 08.08.2024 № RU1401420222036)
"Об установлении границ зон санитарной охраны водозаборных скважин №1, №2 РПБ при ПС 220 кВ Городская, Республика Саха (Якутия). Республика Саха (Якутия), Ленский район, в 3,0 км к северу от г. Ленск"
(Зарегистрирован 08.08.2024 № RU1401420222036)
Номер опубликования: 1401202408120014
Дата опубликования:
12.08.2024
