Официальное опубликование правовых актов
ОФИЦИАЛЬНОЕ ОПУБЛИКОВАНИЕ
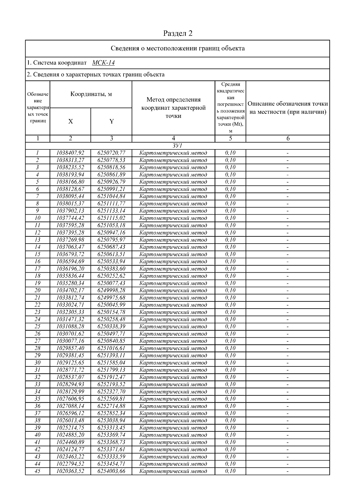
Приказ Министерства экологии, природопользования и лесного хозяйства Республики Саха (Якутия) от 31.07.2024 № 01-05/1-623
"Об установлении границ зон санитарной охраны водозабора р. Алдан п. Хандыга Томпонского района Республики Саха (Якутия) для ГУП "ЖКХ РС(Я)"
(Зарегистрирован 08.08.2024 № RU1401420222033)
Номер опубликования: 1401202408120011
Дата опубликования: 12.08.2024
Страница №46 из 274:
Увеличить