Приказ Министерства экологии, природопользования и лесного хозяйства Республики Саха (Якутия) от 03.06.2024 № 01-05/1-404
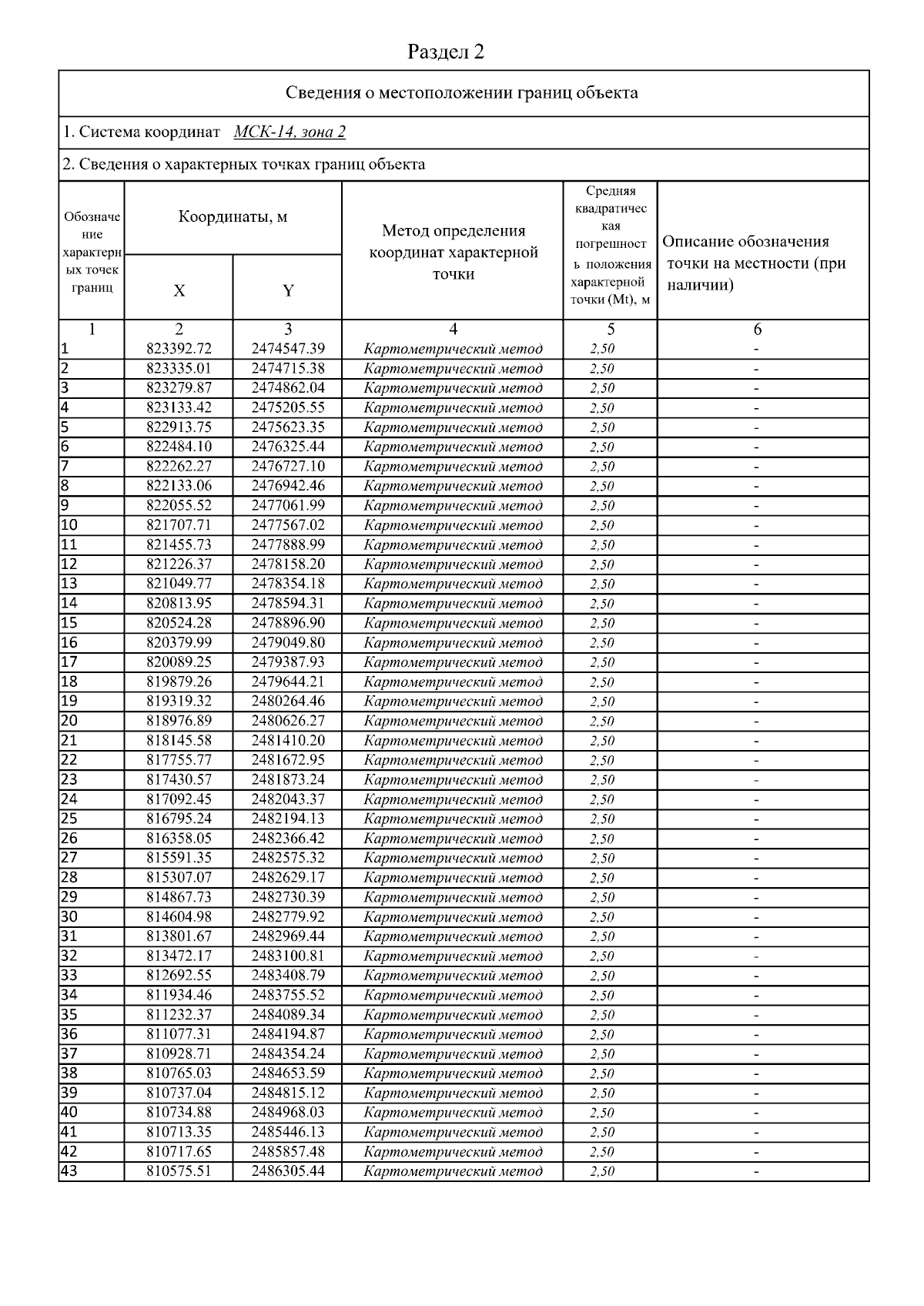
"Об установлении границ зон санитарной охраны водозаборного участка на р. Лена для питьевого и хозяйственно-бытового водоснабжения с. Солянка Муниципального образования "Солянский наслег" Олекминского улуса (района) Республика Саха (Якутия), на левом берегу реки Лена"
(Зарегистрирован 25.06.2024 № RU1401420221989)
"Об установлении границ зон санитарной охраны водозаборного участка на р. Лена для питьевого и хозяйственно-бытового водоснабжения с. Солянка Муниципального образования "Солянский наслег" Олекминского улуса (района) Республика Саха (Якутия), на левом берегу реки Лена"
(Зарегистрирован 25.06.2024 № RU1401420221989)
Номер опубликования: 1401202406280001
Дата опубликования:
28.06.2024
