Официальное опубликование правовых актов
ОФИЦИАЛЬНОЕ ОПУБЛИКОВАНИЕ
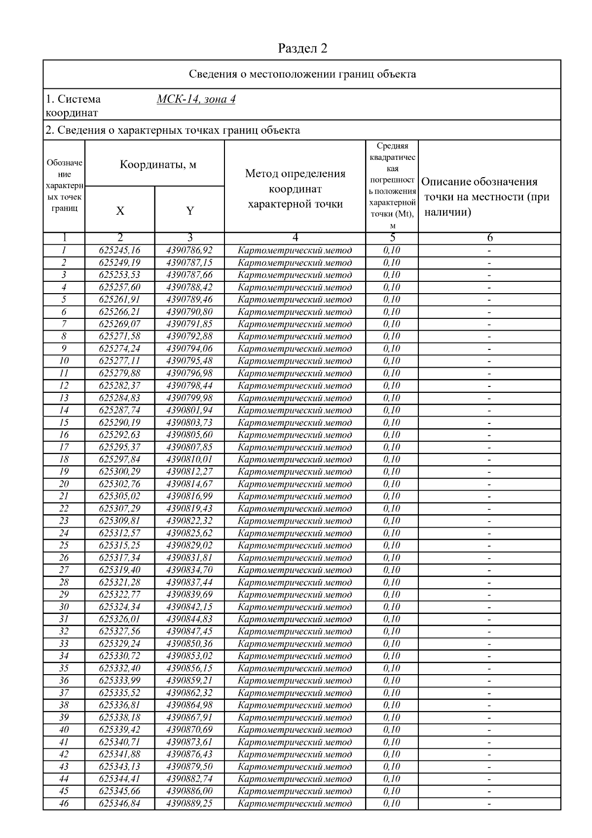
Приказ Министерства экологии, природопользования и лесного хозяйства Республики Саха (Якутия) от 02.04.2024 № 01-05/1-228
"Об установлении границ зон санитарной охраны скважины №3060-А г. Томмот Алданского филиала АО "Теплоэнергосервис" Республики Саха (Якутия) (на левом берегу р.Алдан в 1,2 км. ниже по течению от устья р.Укулан и в 500 м. от русла Алдана)"
(Зарегистрирован 08.04.2024 № RU1401420221888)
Номер опубликования: 1401202404090004
Дата опубликования: 09.04.2024
Страница №10 из 43:
Увеличить