Официальное опубликование правовых актов
ОФИЦИАЛЬНОЕ ОПУБЛИКОВАНИЕ
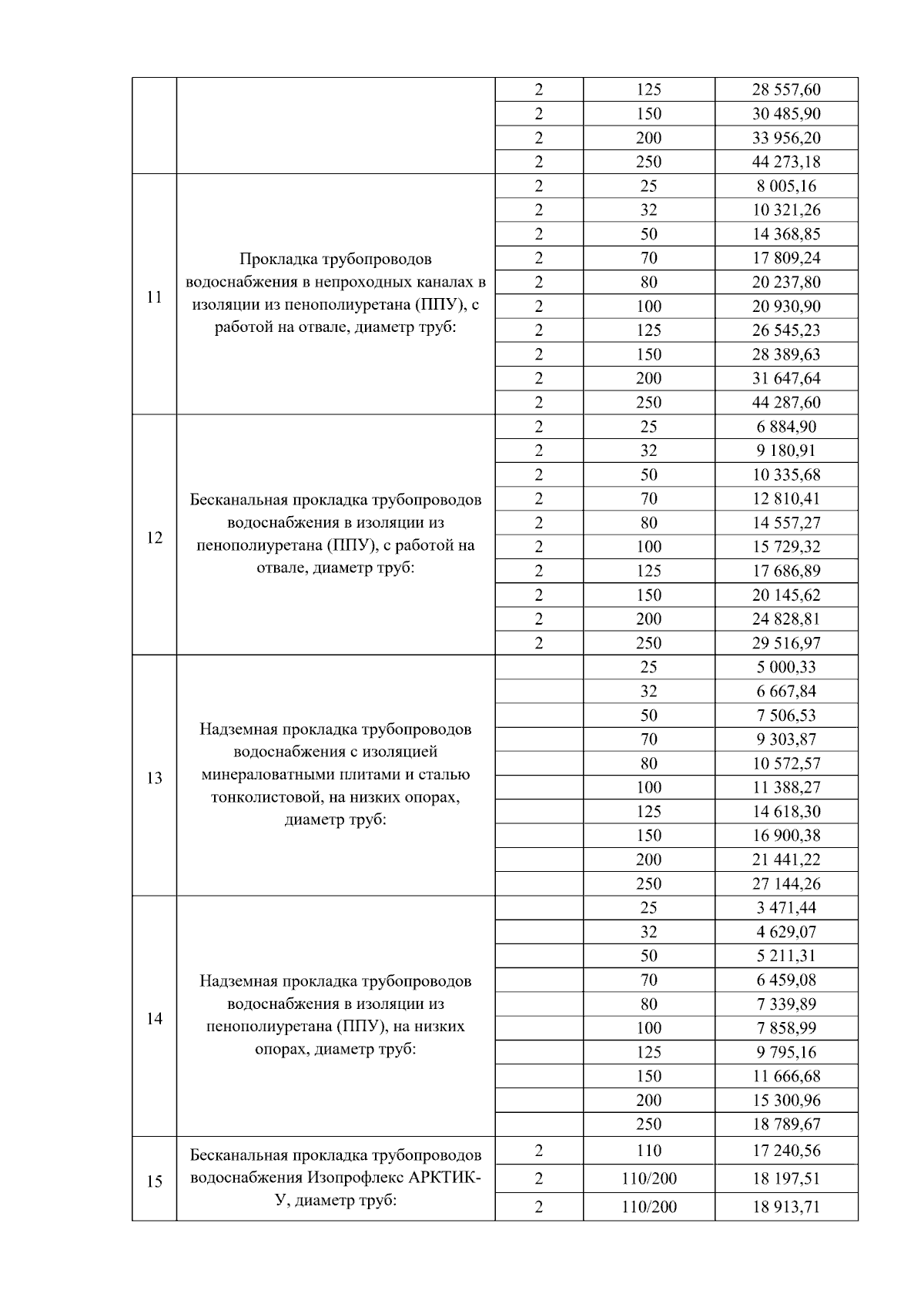
Постановление Государственного комитета по ценовой политике Республики Саха (Якутия) от 15.03.2024 № 26
"Об установлении ставок тарифов на подключение (технологическое присоединение) к централизованным системам холодного, горячего водоснабжения и водоотведения ООО "Предприятие тепловодоснабжения" на 2024 год"
(Зарегистрирован 19.03.2024 № RU1401420221875)
Номер опубликования: 1401202403220001
Дата опубликования: 22.03.2024
Страница №7 из 18:
Увеличить