Официальное опубликование правовых актов
ОФИЦИАЛЬНОЕ ОПУБЛИКОВАНИЕ
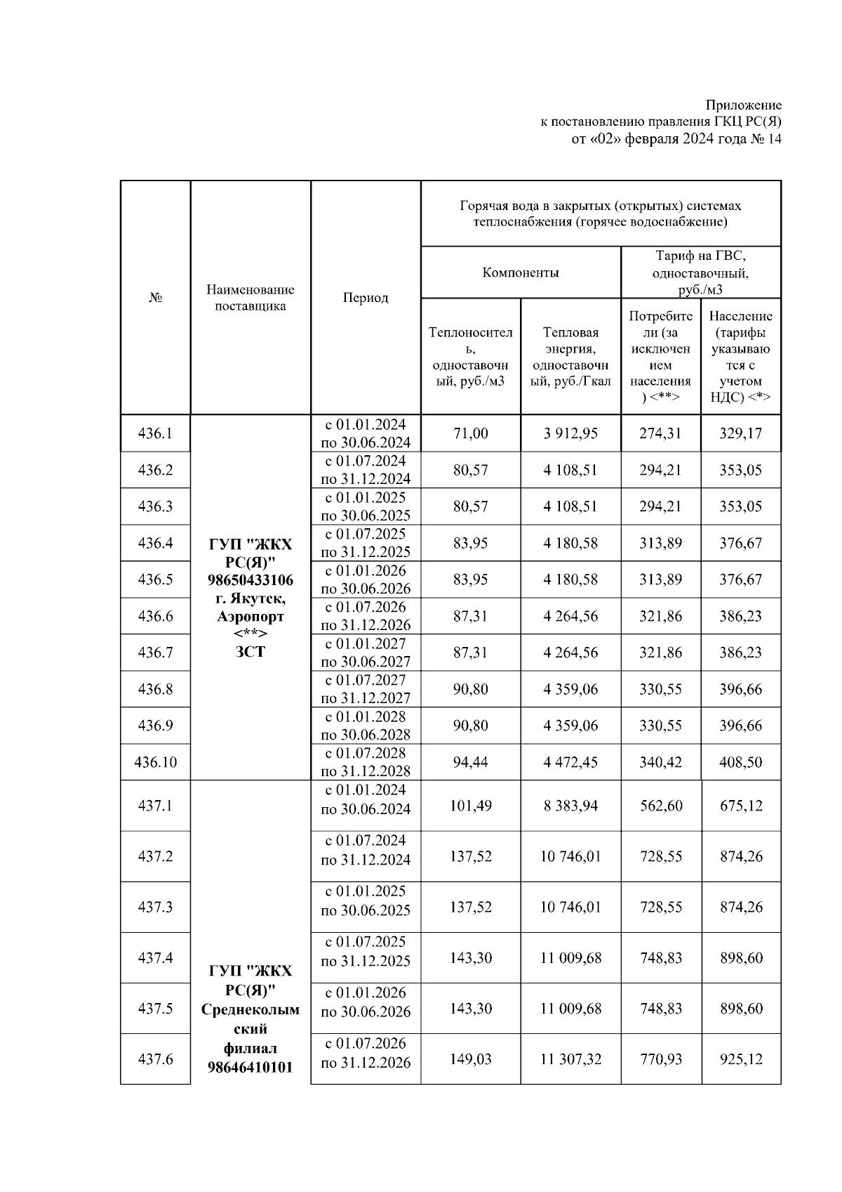
Постановление Государственного комитета по ценовой политике Республики Саха (Якутия) от 02.02.2024 № 14
"О внесении изменений в отдельные постановления Правления Государственного комитета по ценовой политике Республики Саха (Якутия)"
(Зарегистрирован 07.02.2024 № RU1401420221842)
Номер опубликования: 1401202402090003
Дата опубликования: 09.02.2024
Страница №3 из 4:
Увеличить