Официальное опубликование правовых актов
ОФИЦИАЛЬНОЕ ОПУБЛИКОВАНИЕ
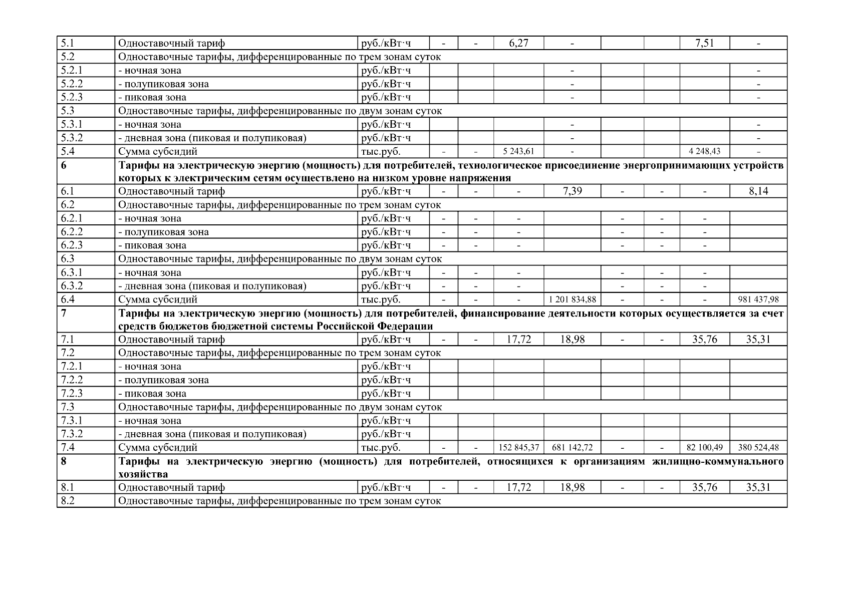
Постановление Государственного комитета по ценовой политике Республики Саха (Якутия) от 27.12.2023 № 255
"Об установлении тарифов на электрическую энергию (мощность), поставляемую АО "Сахаэнерго" потребителям Республики Саха (Якутия) на 2024 год"
(Зарегистрирован 29.12.2023 № RU1401420221806)
Номер опубликования: 1401202312290006
Дата опубликования: 29.12.2023
Страница №5 из 7:
Увеличить