Приказ Министерства экологии, природопользования и лесного хозяйства Республики Саха (Якутия) от 11.12.2023 № 01-05/1-853
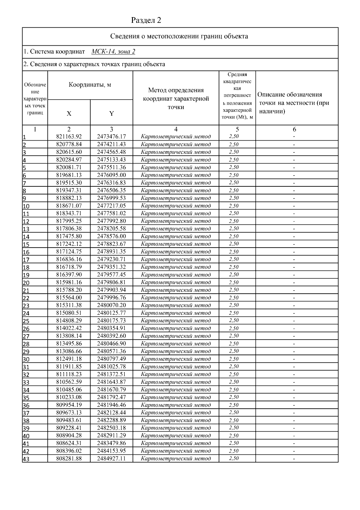
"Об установлении границ зон санитарной охраны водозаборного участка на р. Лена для питьевого и хозяйственно-бытового водоснабжения с. Солянка Муниципального образования "Солянский наслег" Олекминского улуса (района) Республики Саха (Якутия), на левом берегу реки Лена"
(Зарегистрирован 22.12.2023 № RU1401420221727)
"Об установлении границ зон санитарной охраны водозаборного участка на р. Лена для питьевого и хозяйственно-бытового водоснабжения с. Солянка Муниципального образования "Солянский наслег" Олекминского улуса (района) Республики Саха (Якутия), на левом берегу реки Лена"
(Зарегистрирован 22.12.2023 № RU1401420221727)
Номер опубликования: 1401202312260064
Дата опубликования:
26.12.2023
