Официальное опубликование правовых актов
ОФИЦИАЛЬНОЕ ОПУБЛИКОВАНИЕ
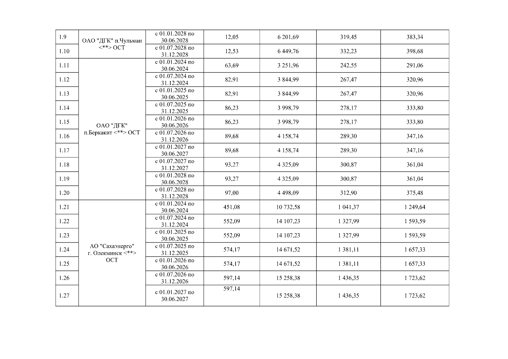
Постановление Государственного комитета по ценовой политике Республики Саха (Якутия) от 20.12.2023 № 213
"Об установлении долгосрочных тарифов на горячую воду (горячее водоснабжение), поставляемую потребителям Республики Саха (Якутия) на 2024-2028 годы"
(Зарегистрирован 26.12.2023 № RU1401420221757)
Номер опубликования: 1401202312260027
Дата опубликования: 26.12.2023
Страница №4 из 11:
Увеличить