Официальное опубликование правовых актов
ОФИЦИАЛЬНОЕ ОПУБЛИКОВАНИЕ
Приказ Министерства экологии, природопользования и лесного хозяйства Республики Саха (Якутия) от 04.12.2023 № 01-05/1-836
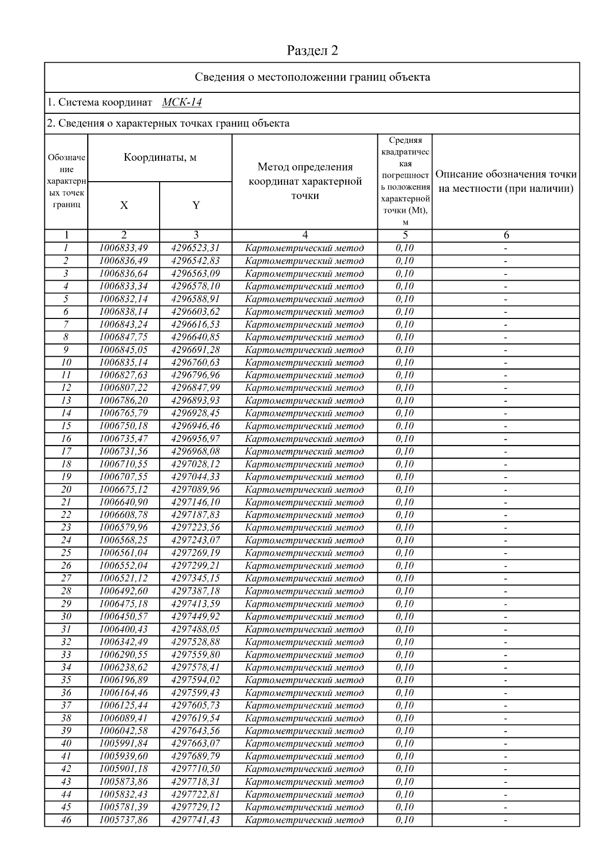
"Об установлении границ зон санитарной охраны водозаборной скважины №2-КП с. Кептин Горного улуса Республики Саха (Якутия), в 0.5 км севернее от с. Кептин"
(Зарегистрирован 15.12.2023 № RU1401420221659)
Номер опубликования: 1401202312180001
Дата опубликования: 18.12.2023
Страница №9 из 21:
Увеличить