Официальное опубликование правовых актов
ОФИЦИАЛЬНОЕ ОПУБЛИКОВАНИЕ
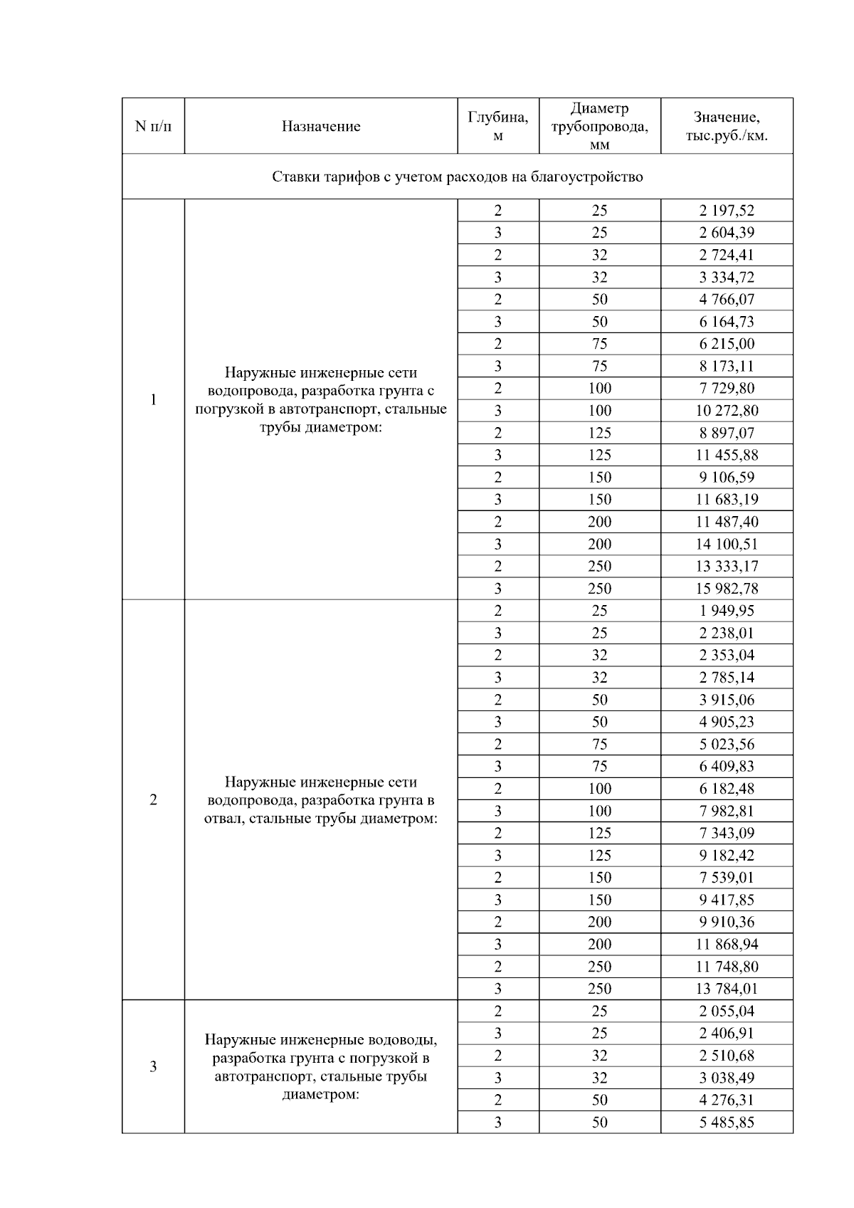
Постановление Государственного комитета по ценовой политике Республики Саха (Якутия) от 30.08.2023 № 66
"Об установлении ставок тарифов на подключение (технологическое присоединение) к централизованным системам холодного водоснабжения ООО "ХОТ" на 2023 год"
(Зарегистрирован 01.09.2023 № RU1401420221558)
Номер опубликования: 1401202309040001
Дата опубликования: 04.09.2023
Страница №9 из 16:
Увеличить