Официальное опубликование правовых актов
ОФИЦИАЛЬНОЕ ОПУБЛИКОВАНИЕ
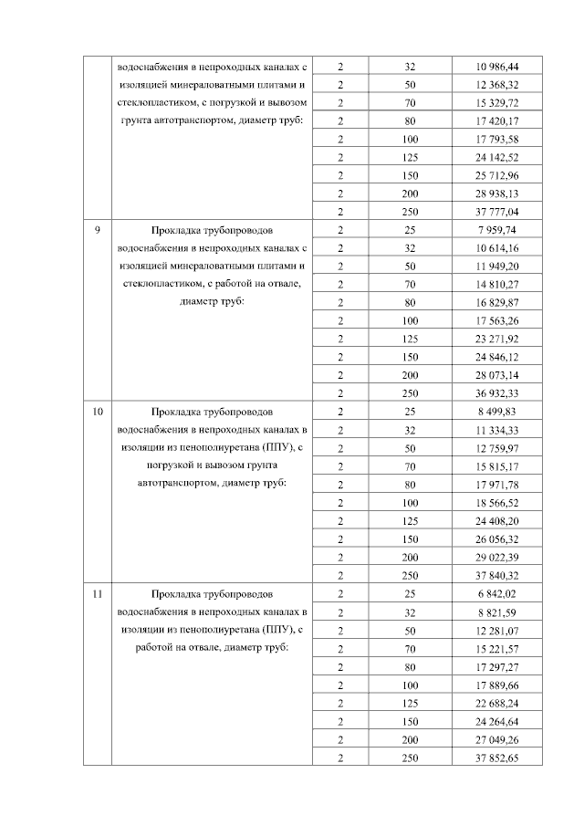
Постановление Государственного комитета по ценовой политике Республики Саха (Якутия) от 09.06.2023 № 46
"Об установлении ставок тарифов на подключение (технологическое присоединение) к централизованным системам холодного, горячего водоснабжения и водоотведения ООО "Ленское ПТЭС" на 2023 год"
(Зарегистрирован 15.06.2023 № RU1401420221492)
Номер опубликования: 1401202306160003
Дата опубликования: 16.06.2023
Страница №7 из 20:
Увеличить