Официальное опубликование правовых актов
ОФИЦИАЛЬНОЕ ОПУБЛИКОВАНИЕ
Приказ Департамента Республики Саха (Якутия) по охране объектов культурного наследия от 02.12.2022 № 179-ОД
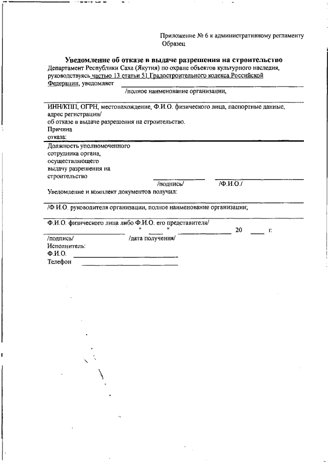
"Об утверждении Административного регламента предоставления Департаментом Республики Саха (Якутия) по охране объектов культурного наследия государственной услуги "Выдача разрешения на строительство в случае, если при проведении работ по сохранению объекта культурного наследия федерального значения (за исключением отдельных объектов культурного наследия федерального значения, перечень которых утверждается Правительством Российской Федерации), объекта культурного наследия регионального значения или выявленного объекта культурного наследия затрагиваются конструктивные и другие характеристики надежности и безопасности такого объекта"
(Зарегистрирован 16.12.2022 № RU1401420221232)
Номер опубликования: 1401202212160010
Дата опубликования: 16.12.2022
Страница №54 из 54:
Увеличить