Официальное опубликование правовых актов
ОФИЦИАЛЬНОЕ ОПУБЛИКОВАНИЕ
Приказ Департамента Республики Саха (Якутия) по охране объектов культурного наследия от 08.11.2022 № 147-ОД
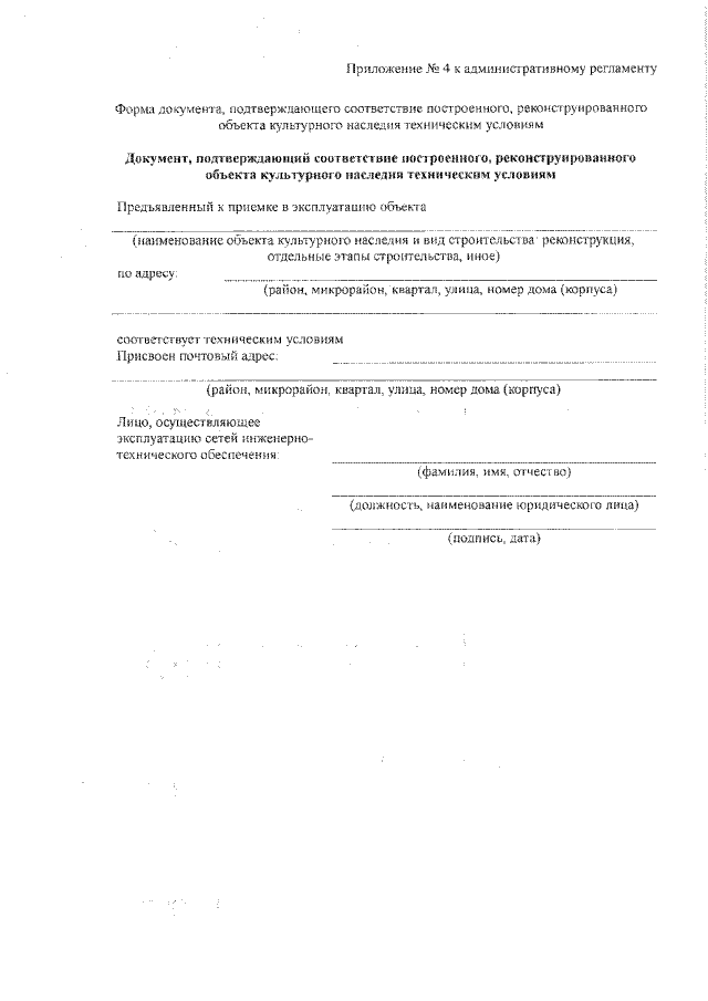
"Об утверждении Административного регламента предоставления Департаментом Республики Саха (Якутия) по охране объектов культурного наследия государственной услуги "Выдача разрешения на ввод объектов в эксплуатацию при проведении работ по сохранению объектов культурного наследия федерального значения (за исключением отдельных объектов культурного наследия федерального значения, перечень которых утверждается Правительством Российской Федерации), объекта культурного наследия регионального значения или выявленного объекта культурного наследия, которые затрагивают конструктивные и другие характеристики надежности и безопасности данных объектов"
(Зарегистрирован 24.11.2022 № RU1401420221135)
Номер опубликования: 1401202211240024
Дата опубликования: 24.11.2022
Страница №37 из 37:
Увеличить