Официальное опубликование правовых актов
ОФИЦИАЛЬНОЕ ОПУБЛИКОВАНИЕ
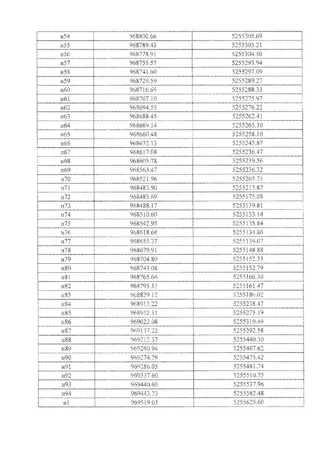
Приказ Департамента Республики Саха (Якутия) по охране объектов культурного наследия от 21.10.2022 № 139-ОД
"О внесении изменений в приказ Департамента Республики Саха (Якутия) по охране объектов культурного наследия от 27 августа 2021 г. N 71-ОД "О включении объекта обладающего признаками объекта культурного наследия, достопримечательного места "Священное озеро Сайсары" в перечень выявленных объектов культурного наследия"
(Зарегистрирован 08.11.2022 № RU1401420221028)
Номер опубликования: 1401202211100001
Дата опубликования: 10.11.2022
Страница №5 из 5:
Увеличить