Официальное опубликование правовых актов
ОФИЦИАЛЬНОЕ ОПУБЛИКОВАНИЕ
Приказ Министерства экологии, природопользования и лесного хозяйства Республики Саха (Якутия) от 24.06.2022 № 01-05/1-537
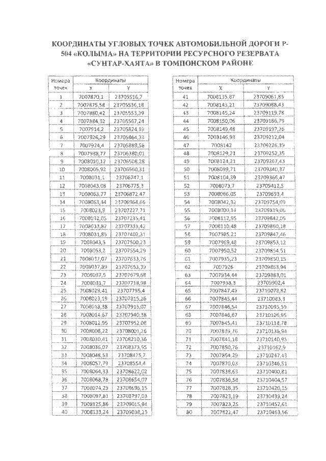
"Об утверждении Положения о ресурсном резервате (Эркээйи Сир) республиканского значения "Сунтар-Хаята" в Томпонском районе Республики Саха (Якутия)"
(Зарегистрирован 11.07.2022 № RU140142022892)
Номер опубликования: 1401202207140002
Дата опубликования: 14.07.2022
Страница №16 из 28:
Увеличить