Официальное опубликование правовых актов
ОФИЦИАЛЬНОЕ ОПУБЛИКОВАНИЕ
Постановление Государственного комитета по ценовой политике Республики Саха (Якутия) от 30.12.2021 № 336
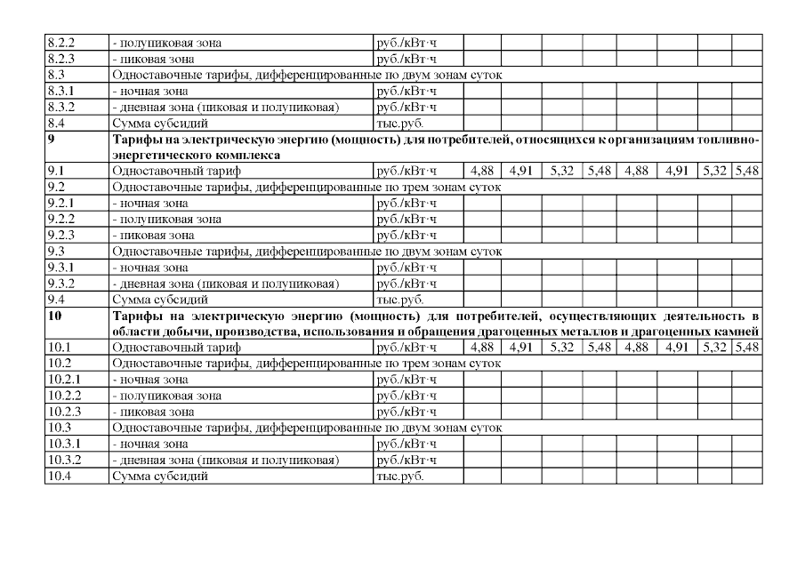
"О внесении изменений в постановление Правления ГКЦ РС(Я) от 28.12.2019 № 250 "Об установлении тарифов на электрическую энергию (мощность), поставляемую ПАО "Магаданэнерго" потребителям Республики Саха (Якутия) на 2020 - 2022 годы"
(Зарегистрирован 11.01.2022 № RU140142022484)
Номер опубликования: 1401202201120014
Дата опубликования: 12.01.2022
Страница №7 из 8:
Увеличить