Официальное опубликование правовых актов
ОФИЦИАЛЬНОЕ ОПУБЛИКОВАНИЕ
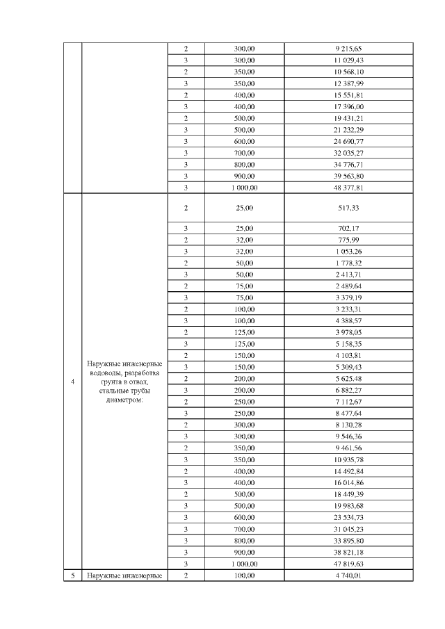
Постановление Государственного комитета по ценовой политике Республики Саха (Якутия) от 16.12.2021 № 290
"Об установлении ставок тарифов на подключение (технологическое присоединение) к централизованным системам холодного водоснабжения и водоотведения АО "Теплоэнергосервис" на 2022 год"
(Зарегистрирован 20.12.2021 № RU140142022355)
Номер опубликования: 1401202112220041
Дата опубликования: 22.12.2021
Страница №5 из 19:
Увеличить