Постановление Государственного комитета по ценовой политике Республики Саха (Якутия) от 18.06.2021 № 75
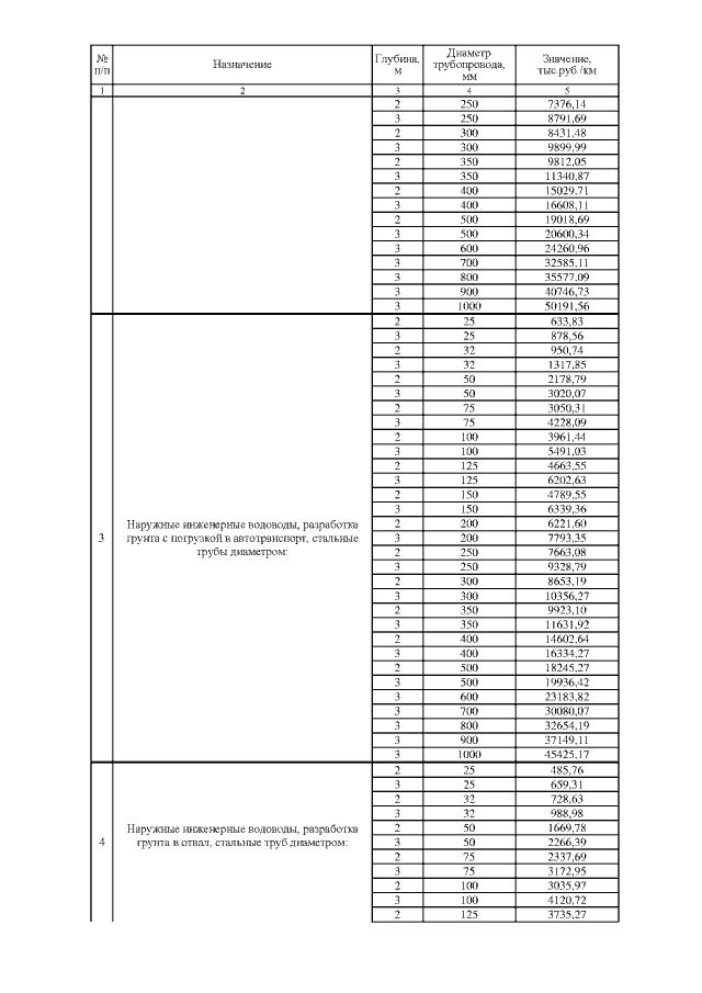
"Об установлении ставок тарифов на подключение (технологическое присоединение) к централизованным системам холодного водоснабжения ООО "МАКСИМУС+" на 2021 год"
(Зарегистрирован 23.06.2021 № RU140142021974)
"Об установлении ставок тарифов на подключение (технологическое присоединение) к централизованным системам холодного водоснабжения ООО "МАКСИМУС+" на 2021 год"
(Зарегистрирован 23.06.2021 № RU140142021974)
Номер опубликования: 1401202106240022
Дата опубликования:
24.06.2021
