Официальное опубликование правовых актов
ОФИЦИАЛЬНОЕ ОПУБЛИКОВАНИЕ
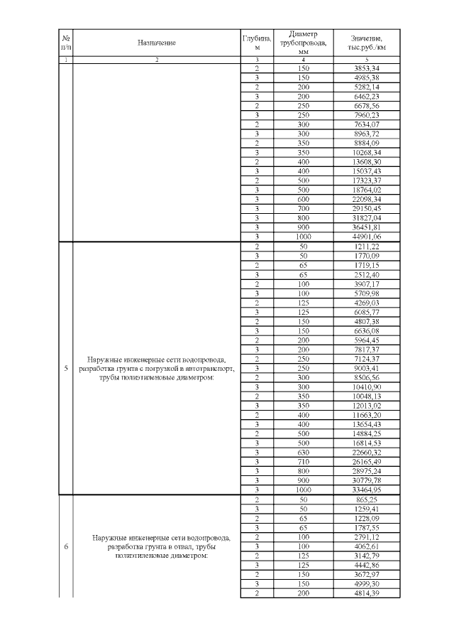
Постановление Государственного комитета по ценовой политике Республики Саха (Якутия) от 29.01.2021 № 10
"Об установлении платы на подключение (технологическое присоединение) к централизованным системам холодного водоснабжения ИП "Габышев А.Г." на 2021 год"
(Зарегистрирован 03.02.2021 № RU140142021763)
Номер опубликования: 1401202102040002
Дата опубликования: 04.02.2021
Страница №5 из 10:
Увеличить