Постановление Государственного комитета по ценовой политике Республики Саха (Якутия) от 17.12.2020 № 301
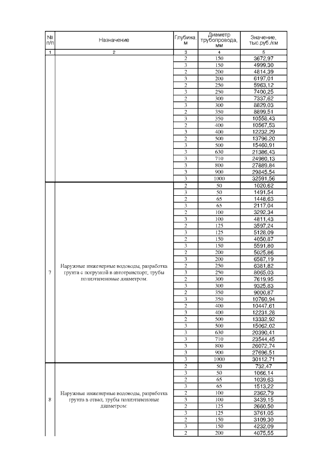
"Об установлении ставок тарифов на подключение (технологическое присоединение) к централизованным системам холодного и горячего водоснабжения ПАО "Якутскэнерго" на 2021 год"
(Зарегистрирован 22.12.2020 № RU140142020647)
"Об установлении ставок тарифов на подключение (технологическое присоединение) к централизованным системам холодного и горячего водоснабжения ПАО "Якутскэнерго" на 2021 год"
(Зарегистрирован 22.12.2020 № RU140142020647)
Номер опубликования: 1401202012220039
Дата опубликования:
22.12.2020
