Официальное опубликование правовых актов
ОФИЦИАЛЬНОЕ ОПУБЛИКОВАНИЕ
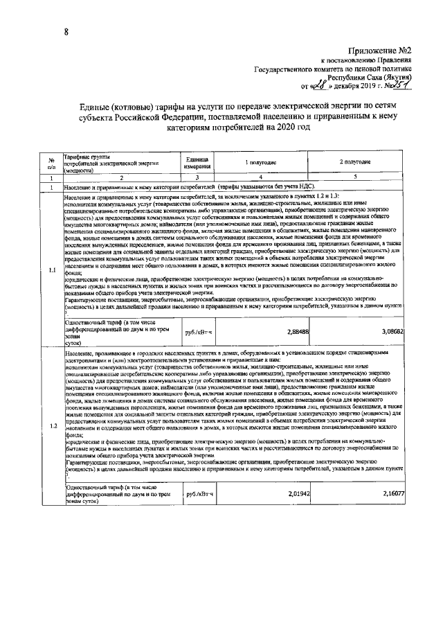
Постановление Государственного комитета по ценовой политике Республики Саха (Якутия) от 28.12.2019 № 251
"Об установлении единых (котловых) тарифов на услуги по передаче электрической энергии на территории Республики Саха (Якутия) на 2020 год"
(Зарегистрирован 09.01.2020 № RU140142020091)
Номер опубликования: 1401202001100026
Дата опубликования: 10.01.2020
Страница №8 из 9:
Увеличить