Официальное опубликование правовых актов
ОФИЦИАЛЬНОЕ ОПУБЛИКОВАНИЕ
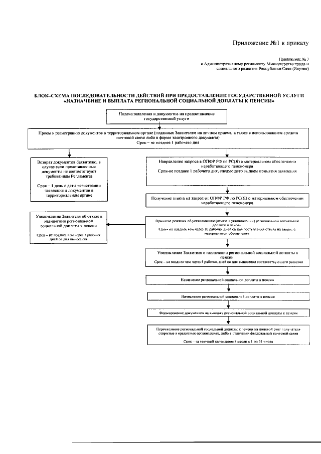
Приказ Министерства труда и социального развития Республики Саха (Якутия) от 25.07.2019 № 954-ОД
"О внесении изменений в Административный регламент Министерства труда и социального развития Республики Саха (Якутия) по предоставлению государственной услуги "Назначение и выплата региональной социальной доплаты к пенсии", утверждённого приказом Министерства труда и социального развития Республики Саха (Якутия) от 10.09.2018 г. №1044-ОД"
(Зарегистрирован 09.08.2019 № RU140142019581)
Номер опубликования: 1401201908130001
Дата опубликования: 13.08.2019
Страница №12 из 12:
Увеличить