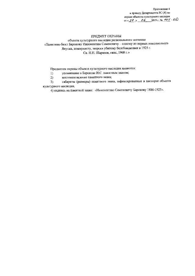
Приказ Департамента Республики Саха (Якутия) по охране объектов культурного наследия от 27.06.2019 № 105-ОД
"Об утверждении границ территории объекта культурного наследия регионального значения "Памятник-бюст Баронову Иннокентию Семеновичу - одному из первых комсомольцев Якутии, коммунисту, зверски убитому белобандитами в 1925 г. Ск. Н.Н. Шарапов, гипс, 1968 г."
(Зарегистрирован 15.07.2019 № RU140142019539)
"Об утверждении границ территории объекта культурного наследия регионального значения "Памятник-бюст Баронову Иннокентию Семеновичу - одному из первых комсомольцев Якутии, коммунисту, зверски убитому белобандитами в 1925 г. Ск. Н.Н. Шарапов, гипс, 1968 г."
(Зарегистрирован 15.07.2019 № RU140142019539)
Номер опубликования: 1401201907170001
Дата опубликования:
17.07.2019
