Официальное опубликование правовых актов
ОФИЦИАЛЬНОЕ ОПУБЛИКОВАНИЕ
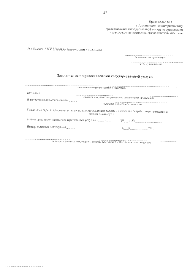
Приказ Государственного комитета Республики Саха (Якутия) по занятости населения от 04.02.2019 № ОД-29
"Об утверждении Административного регламента предоставления государственной услуги по организации сопровождения при содействии занятости инвалидов"
(Зарегистрирован 20.02.2019 № RU140142019259)
Номер опубликования: 1401201902220001
Дата опубликования: 22.02.2019
Страница №48 из 52:
Увеличить