Официальное опубликование правовых актов
ОФИЦИАЛЬНОЕ ОПУБЛИКОВАНИЕ
Приказ Министерства имущественных и земельных отношений Республики Саха (Якутия) от 24.01.2019 № П-012-23
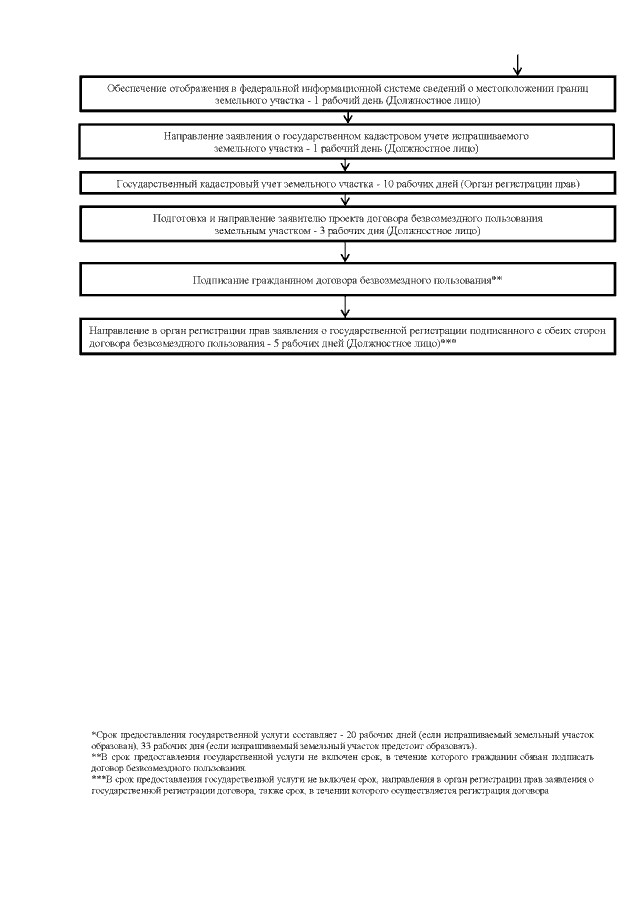
"О внесении изменений в Административный регламент предоставления Министерством имущественных и земельных отношений Республики Саха (Якутия) государственной услуги "Предоставление гражданам земельных участков, находящихся в собственности Республики Саха (Якутия), в безвозмездное пользование", утвержденный приказом Министерства имущественных и земельных отношений Республики Саха (Якутия) от 22.09.2016 г. № П-012-105"
(Зарегистрирован 08.02.2019 № RU140142019228)
Номер опубликования: 1401201902110006
Дата опубликования: 11.02.2019
Страница №30 из 30:
Увеличить