Официальное опубликование правовых актов
ОФИЦИАЛЬНОЕ ОПУБЛИКОВАНИЕ
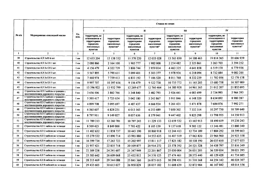
Постановление Государственного комитета по ценовой политике Республики Саха (Якутия) от 26.12.2018 № 219
"Об установлении платы за технологическое присоединение заявителей к электрическим сетям на территории Республики Саха (Якутия) на 2019 год"
(Зарегистрирован 29.12.2018 № RU140202018182)
Номер опубликования: 1401201812290026
Дата опубликования: 29.12.2018
Страница №9 из 45:
Увеличить