Официальное опубликование правовых актов
ОФИЦИАЛЬНОЕ ОПУБЛИКОВАНИЕ
Приказ Министерства промышленности и геологии Республики Саха (Якутия) от 06.12.2018 № 659-ОД
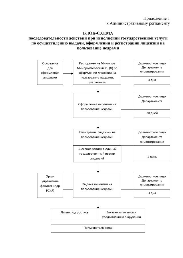
"Об утверждении административного регламента Министерства промышленности и геологии Республики Саха (Якутия) по осуществлению государственной услуги по выдаче, оформлению и регистрации лицензий на предоставление права пользования участками недр местного значения, внесению изменений и дополнений в лицензии на пользование участками недр, а также переоформлению лицензий и принятию решений о досрочном прекращении, приостановлении и ограничении права пользования участками недр местного значения"
(Зарегистрирован 21.12.2018 № RU140152018143)
Номер опубликования: 1401201812250011
Дата опубликования: 25.12.2018
Страница №87 из 99:
Увеличить