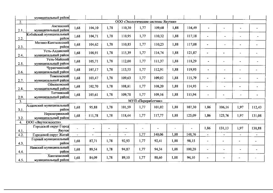
Постановление Государственного комитета по ценовой политике Республики Саха (Якутия) от 20.12.2018 № 214
"Об установлении предельных единых тарифов на услуги региональных операторов по обращению с твердыми коммунальными отходами на территории Республики Саха (Якутия) на 2019 год"
(Зарегистрирован 24.12.2018 № RU140202018147)
"Об установлении предельных единых тарифов на услуги региональных операторов по обращению с твердыми коммунальными отходами на территории Республики Саха (Якутия) на 2019 год"
(Зарегистрирован 24.12.2018 № RU140202018147)
Номер опубликования: 1401201812250006
Дата опубликования:
25.12.2018
